Label: PAXIL- paroxetine hydrochloride tablet, film coated
- NDC Code(s): 60505-4517-3, 60505-4518-3, 60505-4519-3, 60505-4520-3
- Packager: Apotex Corp
- Category: HUMAN PRESCRIPTION DRUG LABEL
- DEA Schedule: None
- Marketing Status: New Drug Application
Drug Label Information
Updated October 22, 2024
If you are a consumer or patient please visit this version.
- Download DRUG LABEL INFO: PDF XML
- Medication Guide: HTML
- Official Label (Printer Friendly)
-
HIGHLIGHTS OF PRESCRIBING INFORMATION
These highlights do not include all the information needed to use PAXIL safely and effectively. See full prescribing information for PAXIL.
PAXIL (paroxetine) tablets, for oral use
PAXIL (paroxetine) oral suspension
Initial U.S. Approval: 1992
WARNING: SUICIDAL THOUGHTS AND BEHAVIORS
See full prescribing information for complete boxed warning.
Increased risk of suicidal thoughts and behavior in pediatric and young adult patients taking antidepressants. Closely monitor all antidepressant treated patients for clinical worsening and emergence of suicidal thoughts and behaviors. PAXIL is not approved for use in pediatric patients.(5.1, 8.4)
RECENT MAJOR CHANGES
Warnings and Precautions (5.4) 11/2024
INDICATIONS AND USAGE
PAXIL is a selective serotonin reuptake inhibitor (SSRI) indicated in adults for the treatment of (1):
- Major Depressive Disorder (MDD)
- Obsessive Compulsive Disorder (OCD)
- Panic Disorder (PD)
- Social Anxiety Disorder (SAD)
- Generalized Anxiety Disorder (GAD)
- Posttraumatic Stress Disorder (PTSD)
DOSAGE AND ADMINISTRATION
- Shake oral suspension well before administration (2.1)
- Recommended starting and maximum daily dosage for MDD, OCD, PD, and PTSD: (2.2)
Indication Starting Daily Dose Maximum Daily Dose MDD 20 mg 50 mg OCD 20 mg 60 mg PD 10 mg 60 mg PTSD 20 mg 50 mg - Recommended starting dosage for SAD and GAD is 20 mg daily. (2.3)
- Elderly patients, patients with severe renal impairment or severe hepatic impairment: Starting dosage is 10 mg daily. Maximum dosage is 40 mg daily. (2.4)
- When discontinuing PAXIL, reduce dosage gradually. (2.6, 5.7)
DOSAGE FORMS AND STRENGTHS
CONTRAINDICATIONS
WARNINGS AND PRECAUTIONS
- Serotonin Syndrome: Increased risk when co-administered with other serotonergic agents, but also when taken alone. If occurs, discontinue PAXIL and serotonergic agents and initiate supportive measures. (5.2)
- Embryofetal Toxicity: May cause fetal harm. Meta-analyses of epidemiological studies have shown increased risk (less than 2-fold) of cardiovascular malformations with exposure during the first trimester. (5.4, 8.1)
- Increased Risk of Bleeding: Concomitant use of aspirin, nonsteroidal anti-inflammatory drugs, other antiplatelet drugs, warfarin, and other anticoagulant drugs may increase risk. (5.5)
- Activation of Mania/Hypomania: Screen patients for bipolar disorder. (5.6)
- Seizures: Use with caution in patients with seizure disorders. (5.8)
- Angle-Closure Glaucoma: Angle-closure glaucoma has occurred in patients with untreated anatomically narrow angles treated with antidepressants. (5.9)
- Sexual Dysfunction: PAXIL may cause symptoms of sexual dysfunction. (5.13)
ADVERSE REACTIONS
Most common adverse reactions (≥5% and at least twice placebo) are abnormal ejaculation, asthenia, constipation, decreased appetite, diarrhea, dizziness, dry mouth, female genital disorder, impotence, infection, insomnia, libido decreased, male genital disorder, nausea, nervousness, somnolence, sweating, tremor, yawn. (6)
To report SUSPECTED ADVERSE REACTIONS, contact Apotex Corp. at 1-800-706-5575 or FDA at 1-800-FDA-1088 or www.fda.gov/medwatch.
DRUG INTERACTIONS
- Drugs Highly Bound to Plasma Protein: Monitor for adverse reactions and reduce dosage of PAXIL or other protein-bound drugs (e.g., warfarin) as warranted. (7)
- Drugs Metabolized by CYP2D6: Reduce dosage of drugs metabolized by CYP2D6 as warranted. (7)
- Concomitant use with tamoxifen: Consider use of an alternative antidepressant with little or no CYP2D6 inhibition. (5.11, 7)
USE IN SPECIFIC POPULATIONS
- Pregnancy: SSRI use, particularly later in pregnancy, may increase the risk for persistent pulmonary hypertension and symptoms of poor adaptation (respiratory distress, temperature instability, feeding difficulty, hypotonia, irritability) in the neonate. (8.1)
See 17 for Medication Guide.
Revised: 11/2024
-
Table of Contents
FULL PRESCRIBING INFORMATION: CONTENTS*
WARNING: SUICIDAL THOUGHTS AND BEHAVIORS
1 INDICATIONS AND USAGE
2 DOSAGE AND ADMINISTRATION
2.1 Administration Information
2.2 Recommended Dosage for MDD, OCD, PD, and PTSD
2.3 Recommended Dosage for SAD and GAD
2.4 Screen for Bipolar Disorder Prior to Starting PAXIL
2.5 Recommended Dosage for Elderly Patients, Patients with Severe Renal Impairment, and Patients with Severe Hepatic Impairment
2.6 Switching Patients to or From a Monoamine Oxidase Inhibitor (MAOI)
2.7 Discontinuation of Treatment With PAXIL
3 DOSAGE FORMS AND STRENGTHS
4 CONTRAINDICATIONS
5 WARNINGS AND PRECAUTIONS
5.1 Suicidal Thoughts and Behaviors in Adolescents and Young Adults
5.2 Serotonin Syndrome
5.3 Drug Interactions Leading to QT Prolongation
5.4 Embryofetal Toxicity
5.5 Increased Risk of Bleeding
5.6 Activation of Mania or Hypomania
5.7 Discontinuation Syndrome
5.8 Seizures
5.9 Angle-Closure Glaucoma
5.10 Hyponatremia
5.11 Reduction of Efficacy of Tamoxifen
5.12 Bone Fracture
5.13 Sexual Dysfunction
6 ADVERSE REACTIONS
6.1 Clinical Trials Experience
6.2 Postmarketing Experience
7 DRUG INTERACTIONS
8 USE IN SPECIFIC POPULATIONS
8.1 Pregnancy
8.2 Lactation
8.3 Females and Males of Reproductive Potential
8.4 Pediatric Use
8.5 Geriatric Use
8.6 Renal and Hepatic Impairment
10 OVERDOSAGE
11 DESCRIPTION
12 CLINICAL PHARMACOLOGY
12.1 Mechanism of Action
12.2 Pharmacodynamics
12.3 Pharmacokinetics
13 NONCLINICAL TOXICOLOGY
13.1 Carcinogenesis, Mutagenesis, Impairment of Fertility
14 CLINICAL STUDIES
14.1 Major Depressive Disorder
14.2 Obsessive Compulsive Disorder
14.3 Panic Disorder
14.4 Social Anxiety Disorder
14.5 Generalized Anxiety Disorder
14.6 Posttraumatic Stress Disorder
16 HOW SUPPLIED/STORAGE AND HANDLING
- *
- Sections or subsections omitted from the full prescribing information are not listed.
-
BOXED WARNING
(What is this?)
WARNING: SUICIDAL THOUGHTS AND BEHAVIORS
Antidepressants increased the risk of suicidal thoughts and behaviors in pediatric and young adult patients in short-term studies. Closely monitor all antidepressant-treated patients for clinical worsening, and for emergence of suicidal thoughts and behaviors [see Warnings and Precautions ( 5.1 )] . PAXIL is not approved for use in pediatric patients [see Use in Specific Populations ( 8.4 )] .
- 1 INDICATIONS AND USAGE
-
2 DOSAGE AND ADMINISTRATION
2.1 Administration Information
Administer PAXIL as a single daily dose in the morning, with or without food.
Shake the oral suspension well before administration.
2.2 Recommended Dosage for MDD, OCD, PD, and PTSD
The recommended starting dosages and maximum dosages of PAXIL in patients with MDD, OCD, PD, and PTSD are presented in Table 1.
In patients with an inadequate response, increase dosage in increments of 10 mg per day at intervals of at least 1 week, depending on tolerability.
Table 1: Recommended Daily Dosage of PAXIL in Patients with MDD, OCD, PD, and PTSD
Indication Starting Dose Maximum Dose MDD 20 mg 50 mg OCD 20 mg 60 mg PD 10 mg 60 mg PTSD 20 mg 50 mg 2.3 Recommended Dosage for SAD and GAD
SAD
The starting and recommended dosage in patients with SAD is 20 mg daily. In clinical trials the effectiveness of PAXIL was demonstrated in patients dosed in a range of 20 mg to 60 mg daily. While the safety of PAXIL has been evaluated in patients with SAD at doses up to 60 mg daily, available information does not suggest any additional benefit for doses above 20 mg daily [see Clinical Studies (14.4)].
GAD
The starting and recommended dosage in patients with GAD is 20 mg daily. In clinical trials the effectiveness of PAXIL in GAD was demonstrated in patients dosed in a range of 20 mg to 50 mg daily. There is not sufficient evidence to suggest a greater benefit to doses higher than 20 mg daily [see Clinical Studies (14.5)].
In patients with an inadequate response, increase dosage in increments of 10 mg per day at intervals of at least 1 week, depending on tolerability.
2.4 Screen for Bipolar Disorder Prior to Starting PAXIL
Prior to initiating treatment with PAXIL or another antidepressant, screen patients for a personal or family history of bipolar disorder, mania, or hypomania [see Warnings and Precautions (5.6)].
2.5 Recommended Dosage for Elderly Patients, Patients with Severe Renal Impairment, and Patients with Severe Hepatic Impairment
The recommended initial dosage is 10 mg per day for elderly patients, patients with severe renal impairment, and patients with severe hepatic impairment. Dosage should not exceed 40 mg/day.
2.6 Switching Patients to or From a Monoamine Oxidase Inhibitor (MAOI)
At least 14 days must elapse between discontinuation of a monoamine oxidase inhibitor (MAOI and initiation of PAXIL. In addition, at least 14 days must elapse after stopping PAXIL before starting an MAOI antidepressant [see Contraindications (4), Warnings and Precautions (5.2)].
2.7 Discontinuation of Treatment With PAXIL
Adverse reactions may occur upon discontinuation of PAXIL [see Warnings and Precautions (5.7)]. Gradually reduce the dosage rather than stopping PAXIL abruptly whenever possible.
-
3 DOSAGE FORMS AND STRENGTHS
PAXIL tablets are available as:
- 10 mg yellow, scored tablet engraved on the front with “PAXIL” and on the back with “10”.
- 20 mg pink, scored tablet engraved on the front with “PAXIL” and on the back with “20”.
- 30 mg blue tablet engraved on the front with “PAXIL” and on the back with “30”.
- 40 mg green tablet engraved on the front with “PAXIL” and on the back with “40”.
PAXIL oral suspension is available as:
- 10 mg/5 mL orange colored, orange flavored suspension in bottles containing 250 mL (not currently marketed).
-
4 CONTRAINDICATIONS
PAXIL is contraindicated in patients:
- Taking, or within 14 days of stopping, MAOIs (including the MAOIs linezolid and intravenous methylene blue) because of an increased risk of serotonin syndrome [see Warnings and Precautions (5.2), Drug Interactions (7)].
- Taking thioridazine because of risk of QT prolongation [see Warnings and Precautions (5. 3), Drug Interactions (7)]
- Taking pimozide because of risk of QT prolongation [see Warnings and Precautions (5.3), Drug Interactions (7)]. With known hypersensitivity (e.g., anaphylaxis, angioedema, Stevens-Johnson syndrome) to paroxetine or any of the inactive ingredients in PAXIL [see Adverse Reactions (6.1), (6.2)].
-
5 WARNINGS AND PRECAUTIONS
5.1 Suicidal Thoughts and Behaviors in Adolescents and Young Adults
In pooled analyses of placebo-controlled trials of antidepressant drugs (SSRIs and other antidepressant classes) that included approximately 77,000 adult patients and 4,500 pediatric patients, the incidence of suicidal thoughts and behaviors in antidepressant-treated patients age 24 years and younger was greater than in placebo-treated patients. There was considerable variation in risk of suicidal thoughts and behaviors among drugs, but there was an increased risk identified in young patients for most drugs studied. There were differences in absolute risk of suicidal thoughts and behaviors across the different indications, with the highest incidence in patients with MDD. The drug-placebo differences in the number of cases of suicidal thoughts and behaviors per 1,000 patients treated are provided in Table 2.
Table 2: Risk Differences of the Number of Patients with Suicidal Thoughts and Behaviors in the Pooled Placebo-Controlled Trials of Antidepressants in Pediatric and Adult Patients
Age Range Drug-Placebo Difference in Number of Patients with
Suicidal Thoughts and Behaviors per 1,000 Patients TreatedIncreases Compared to Placebo <18 years old 14 additional cases 18-24 years old 5 additional cases Decreases Compared to Placebo 25-64 years old 1 fewer case ≥65 years old 6 fewer cases PAXIL is not approved for use in pediatric patients.
It is unknown whether the risk of suicidal thoughts and behaviors in children, adolescents, and young adults extends to longer-term use, i.e., beyond four months. However, there is substantial evidence from placebo-controlled maintenance trials in adults with MDD that antidepressants delay the recurrence of depression and that depression itself is a risk factor for suicidal thoughts and behaviors.
Monitor all antidepressant-treated patients for any indication for clinical worsening and emergence of suicidal thoughts and behaviors, especially during the initial few months of drug therapy, and at times of dosage changes. Counsel family members or caregivers of patients to monitor for changes in behavior and to alert the healthcare provider. Consider changing the therapeutic regimen, including possibly discontinuing PAXIL, in patients whose depression is persistently worse, or who are experiencing emergent suicidal thoughts or behaviors.
5.2 Serotonin Syndrome
SSRIs, including PAXIL, can precipitate serotonin syndrome, a potentially life-threatening condition. The risk is increased with concomitant use of other serotonergic drugs (including triptans, tricyclic antidepressants, fentanyl, lithium, tramadol, meperidine, methadone, tryptophan, buspirone, amphetamines and St. John’s Wort) and with drugs that impair metabolism of serotonin, i.e., MAOIs [see Contraindications (4), Drug Interactions (7.1)]. Serotonin syndrome can also occur when these drugs are used alone.
Serotonin syndrome symptoms may include mental status changes (e.g., agitation, hallucinations, delirium, and coma), autonomic instability (e.g., tachycardia, labile blood pressure, dizziness, diaphoresis, flushing, hyperthermia), neuromuscular symptoms (e.g., tremor, rigidity, myoclonus, hyperreflexia, incoordination), seizures, and/or gastrointestinal symptoms (e.g., nausea, vomiting, diarrhea).
The concomitant use of PAXIL with MAOIs is contraindicated. In addition, do not initiate PAXIL in a patient being treated with MAOIs such as linezolid or intravenous methylene blue. No reports involved the administration of methylene blue by other routes (such as oral tablets or local tissue injection) or at lower doses. If it is necessary to initiate treatment with an MAOI such as linezolid or intravenous methylene blue in a patient taking PAXIL discontinue PAXIL before initiating treatment with the MAOI [see Contraindications (4), Drug Interactions (7)].
Monitor all patients taking PAXIL for the emergence of serotonin syndrome. Discontinue treatment with PAXIL and any concomitant serotonergic agents immediately if the above symptoms occur, and initiate supportive symptomatic treatment. If concomitant use of PAXIL with other serotonergic drugs is clinically warranted, inform patients of the increased risk for serotonin syndrome and monitor for symptoms.
5.3 Drug Interactions Leading to QT Prolongation
The CYP2D6 inhibitory properties of paroxetine can elevate plasma levels of thioridazine and pimozide. Since thioridazine and pimozide given alone produce prolongation of the QTc interval and increase the risk of serious ventricular arrhythmias, the use of PAXIL is contraindicated in combination with thioridazine and pimozide [see Contraindications (4), Drug Interactions (7), Clinical Pharmacology (12.3)].
5.4 Embryofetal Toxicity
Based on meta-analyses of epidemiological studies, exposure to paroxetine in the first trimester of pregnancy is associated with a less than 2-fold increase in the rate of cardiovascular malformations among infants. For women who intend to become pregnant or who are in their first trimester of pregnancy, PAXIL, should be initiated only after consideration of the other available treatment options [see Use in Specific Populations (8.1)].
5.5 Increased Risk of Bleeding
Drugs that interfere with serotonin reuptake inhibition, including PAXIL, increase the risk of bleeding events. Concomitant use of aspirin, nonsteroidal anti-inflammatory drugs (NSAIDS), other antiplatelet drugs, warfarin, and other anticoagulants may add to this risk. Case reports and epidemiological studies (case-control and cohort design) have demonstrated an association between use of drugs that interfere with serotonin reuptake and the occurrence of gastrointestinal bleeding. Based on data from the published observational studies, exposure to SSRIs, particularly in the month before delivery, has been associated with a less than 2-fold increase in the risk of postpartum hemorrhage [see Use in Specific Populations (8.1)]. Bleeding events related to drugs that interfere with serotonin reuptake have ranged from ecchymoses, hematomas, epistaxis, and petechiae to life-threatening hemorrhages.
Inform patients about the increased risk of bleeding associated with the concomitant use of PAXIL and antiplatelet agents or anticoagulants. For patients taking warfarin, carefully monitor the international normalized ratio.
5.6 Activation of Mania or Hypomania
In patients with bipolar disorder, treating a depressive episode with PAXIL or another antidepressant may precipitate a mixed/manic episode. During controlled clinical trials of PAXIL, hypomania or mania occurred in approximately 1% of PAXIL-treated unipolar patients compared to 1.1% of active-control and 0.3% of placebo-treated unipolar patients. Prior to initiating treatment with PAXIL, screen patients for any personal or family history of bipolar disorder, mania, or hypomania.
5.7 Discontinuation Syndrome
Adverse reactions after discontinuation of serotonergic antidepressants, particularly after abrupt discontinuation, include: nausea, sweating, dysphoric mood, irritability, agitation, dizziness, sensory disturbances (e.g., paresthesia, such as electric shock sensations), tremor, anxiety, confusion, headache, lethargy, emotional lability, insomnia, hypomania, tinnitus, and seizures. A gradual reduction in dosage rather than abrupt cessation is recommended whenever possible [see Dosage and Administration (2.7)].
During clinical trials of GAD and PTSD, gradual decreases in the daily dose by 10 mg/day at weekly intervals followed by 1 week at 20 mg/day was used before treatment was discontinued. The following adverse reactions were reported at an incidence of 2% or greater for PAXIL and were at least twice that reported for placebo: Abnormal dreams, paresthesia, and dizziness adverse reactions have been reported upon discontinuation of treatment with PAXIL in pediatric patients. The safety and effectiveness of PAXIL in pediatric patients have not been established [see Boxed Warning, Warnings and Precautions (5.1), Use in Specific Populations (8.4)].
5.8 Seizures
PAXIL tablets and oral suspension have not been systematically evaluated in patients with seizure disorders. Patients with history of seizures were excluded from clinical studies. During clinical studies, seizures occurred in 0.1% of patients treated with PAXIL. PAXIL should be prescribed with caution in patients with a seizure disorder. Discontinue PAXIL in any patient who develops seizures.
5.9 Angle-Closure Glaucoma
The pupillary dilation that occurs following use of many antidepressant drugs including PAXIL may trigger an angle closure attack in a patient with anatomically narrow angles who does not have a patent iridectomy. Cases of angle-closure glaucoma associated with use of PAXIL have been reported. Avoid use of antidepressants, including PAXIL in patients with untreated anatomically narrow angles.
5.10 Hyponatremia
Hyponatremia may occur as a result of treatment with SSRIs, including PAXIL. Cases with serum sodium lower than 110 mmol/L have been reported. Signs and symptoms of hyponatremia include headache, difficulty concentrating, memory impairment, confusion, weakness, and unsteadiness, which may lead to falls. Signs and symptoms associated with more severe and/or acute cases have included hallucination, syncope, seizure, coma, respiratory arrest, and death. In many cases, this hyponatremia appears to be the result of the syndrome of inappropriate antidiuretic hormone secretion (SIADH).
In patients with symptomatic hyponatremia, discontinue PAXIL and institute appropriate medical intervention. Elderly patients, patients taking diuretics, and those who are volume-depleted may be at greater risk of developing hyponatremia with SSRIs [see Use in Specific Populations (8.5)].
5.11 Reduction of Efficacy of Tamoxifen
Some studies have shown that the efficacy of tamoxifen, as measured by the risk of breast cancer relapse/mortality, may be reduced with concomitant use of PAXIL as a result of paroxetine’s irreversible inhibition of CYP2D6 and lower blood levels of tamoxifen [see Drug Interactions (7)]. One study suggests that the risk may increase with longer duration of coadministration. However, other studies have failed to demonstrate such a risk. When tamoxifen is used for the treatment or prevention of breast cancer, prescribers should consider using an alternative antidepressant with little or no CYP2D6 inhibition.
5.12 Bone Fracture
Epidemiological studies on bone fracture risk during exposure to some antidepressants, including SSRIs, have reported an association between antidepressant treatment and fractures. There are multiple possible causes for this observation, and it is unknown to what extent fracture risk is directly attributable to SSRI treatment.
5.13 Sexual Dysfunction
Use of SSRIs, including PAXIL, may cause symptoms of sexual dysfunction [see Adverse Reactions (6.1)]. In male patients, SSRI use may result in ejaculatory delay or failure, decreased libido, and erectile dysfunction. In female patients, SSRI use may result in decreased libido and delayed or absent orgasm.
It is important for prescribers to inquire about sexual function prior to initiation of PAXIL and to inquire specifically about changes in sexual function during treatment, because sexual function may not be spontaneously reported. When evaluating changes in sexual function, obtaining a detailed history (including timing of symptom onset) is important because sexual symptoms may have other causes, including the underlying psychiatric disorder. Discuss potential management strategies to support patients in making informed decisions about treatment.
-
6 ADVERSE REACTIONS
The following adverse reactions are included in more detail in other sections of the prescribing information:
- Hypersensitivity reactions to paroxetine [see Contraindications (4)]
- Suicidal Thoughts and Behaviors [see Warnings and Precautions (5.1)]
- Serotonin Syndrome [see Warnings and Precautions (5.2)]
- Embryofetal Toxicity [see Warnings and Precautions (5.4)]
- Increased Risk of Bleeding [see Warnings and Precautions (5.5)]
- Activation of Mania/Hypomania [see Warnings and Precautions (5.6)]
- Discontinuation Syndrome [see Warnings and Precautions (5.7)]
- Seizures [see Warnings and Precautions (5.8)]
- Angle-closure Glaucoma [see Warnings and Precautions (5.9)]
- Hyponatremia [see Warnings and Precautions (5.10)]
- Bone Fracture [see Warnings and Precautions (5.12)]
- Sexual Dysfunction [see Warnings and Precautions (5.13)]
6.1 Clinical Trials Experience
Because clinical trials are conducted under widely varying conditions, adverse reaction rates observed in the clinical trials of a drug cannot be directly compared to rates in the clinical trials of another drug and may not reflect the rates observed in practice.
The safety data for PAXIL are from:
- 6‑week clinical trials in MDD patients who received PAXIL 20 mg to 50 mg once daily
- 12-week clinical trials in OCD patients who received PAXIL 20 mg to 60 mg once daily
- 10‑ to 12‑week clinical trials in PD patients who received PAXIL 10 mg to 60 mg once daily
- 12-week clinical trials in SAD patients who received PAXIL 20 mg to 50 mg once daily
- 8‑week clinical trials in GAD patients who received PAXIL 10 mg to 50 mg once daily
- 12‑week clinical trials in PTSD patients who received PAXIL 20 mg to 50 mg once daily
Adverse Reactions Leading to Discontinuation
Twenty percent (1,199/6,145) of patients treated with PAXIL in clinical trials in MDD and 16.1% (84/522), 11.8% (64/542), 9.4% (44/469), 10.7% (79/735), and 11.7% (79/676) of patients treated with PAXIL in clinical trials in SAD, OCD, PD, GAD, and PTSD, respectively, discontinued treatment due to an adverse reaction. The most common adverse reactions (≥1%) associated with discontinuation (i.e., those adverse reactions associated with dropout at a rate approximately twice or greater for PAXIL compared to placebo) are presented in Table 3:
Table 3: Adverse Reactions Reported as Leading to Discontinuation (≥1% of PAXIL-Treated Patients and Greater than Placebo) in MDD, OCD, PD, SAD, GAD, and PTSD Trials
MDD OCD PD SAD GAD PTSD PAXIL % Placebo % PAXIL % Placebo % PAXIL % Placebo % PAXIL % Placebo % PAXIL % Placebo % PAXIL % Placebo % CNS Somnolence 2.3 0.7 --- 1.9 0.3 3.4 0.3 2.0 0.2 2.8 0.6 Insomnia --- --- 1.7 0 1.3 0.3 3.1 0 --- --- Agitation 1.1 0.5 --- --- --- Tremor 1.1 0.3 --- 1.7 0 1.0 0.2 Anxiety --- --- --- 1.1 0 --- --- Dizziness --- --- 1.5 0 1.9 0 1.0 0.2 --- --- Gastrointestinal Constipation --- 1.1 0 --- --- Nausea 3.2 1.1 1.9 0 3.2 1.2 4.0 0.3 2.0 0.2 2.2 0.6 Diarrhea 1.0 0.3 --- Dry mouth 1.0 0.3 --- --- --- Vomiting 1.0 0.3 --- 1.0 0 --- --- Flatulence 1.0 0.3 --- --- Other Asthenia 1.6 0.4 1.9 0.4 2.5 0.6 1.8 0.2 1.6 0.2 Abnormal Ejaculationa 1.6 0 2.1 0 4.9 0.6 2.5 0.5 --- --- Sweating 1.0 0.3 --- 1.1 0 1.1 0.2 --- --- Impotencea --- 1.5 0 --- --- Libido Decreased 1.0 0 --- --- Where numbers are not provided the incidence of the adverse reactions in patients treated with PAXIL was not >1% or was not greater than or equal to 2 times the incidence of placebo. a. Incidence corrected for gender.
Most Common Adverse Reactions
The most commonly observed adverse reactions associated with the use of PAXIL (incidence of 5% or greater and at least twice that for placebo) were:
MDD: Asthenia, sweating, nausea, decreased appetite, somnolence, dizziness, insomnia, tremor, nervousness, ejaculatory disturbance, and other male genital disorders.
OCD: Nausea, dry mouth, decreased appetite, constipation, dizziness, somnolence, tremor, sweating, impotence, and abnormal ejaculation.
PD: Asthenia, sweating, decreased appetite, libido decreased, tremor, abnormal ejaculation, female genital disorders, and impotence.
SAD: Sweating, nausea, dry mouth, constipation, decreased appetite, somnolence, tremor, libido decreased, yawn, abnormal ejaculation, female genital disorders, and impotence.
GAD: Asthenia, infection, constipation, decreased appetite, dry mouth, nausea, libido decreased, somnolence, tremor, sweating, and abnormal ejaculation.
PTSD: Asthenia, sweating, nausea, dry mouth, diarrhea, decreased appetite, somnolence, libido decreased, abnormal ejaculation, female genital disorders, and impotence.
Adverse Reactions in Patients with MDD
Table 4 presents the adverse reactions that occurred at an incidence of 1% or more and greater than placebo in clinical trials of PAXIL‑treated patients with MDD.
Table 4: Adverse Reactions (≥1% of PAXIL-Treated Patients and Greater than Placebo) in 6-Week Clinical Trials for MDD
Body System/
Adverse ReactionPAXIL
(n = 421)
%Placebo
(n = 421)
%Body as a Whole Headache 18 17 Asthenia 15 6 Cardiovascular Palpitation 3 1 Vasodilation 3 1 Dermatologic Sweating 11 2 Rash 2 1 Gastrointestinal Nausea 26 9 Dry Mouth 18 12 Constipation 14 9 Diarrhea 12 8 Decreased Appetite 6 2 Flatulence 4 2 Oropharynx Disordera 2 0 Dyspepsia 2 1 Musculoskeletal Myopathy 2 1 Myalgia 2 1 Myasthenia 1 0 Nervous System Somnolence 23 9 Dizziness 13 6 Insomnia 13 6 Tremor 8 2 Nervousness 5 3 Anxiety 5 3 Paresthenia 4 2 Libido Decreased 3 0 Drugged Feeling 2 1 Confusion 1 0 Respiration Yawn 4 0 Special Senses Blurred Vision 4 1 Taste Perversion 2 0 Urogential System Ejaculatory Disturbanceb,c 13 0 Other Male Genital Disordersb,d 10 0 Urinary Frequency 3 1 Urination Disordere 3 0 Female Genital Disordersb,f 2 0 a. Includes mostly “lump in throat” and “tightness in throat.”
b. Percentage corrected for gender.
c. Mostly “ejaculatory delay.”
d. Includes “anorgasmia,” “erectile difficulties,” “delayed ejaculation/orgasm,” and “sexual dysfunction,” and “impotence.”
e. Includes mostly “difficulty with micturition” and “urinary hesitancy.”
f. Includes mostly “anorgasmia” and “difficulty reaching climax/orgasm.”
Adverse Reactions in Patients with OCD, PD, and SAD
Table 5 presents adverse reactions that occurred at a frequency of 2% or more in clinical trials in patients with OCD, PD, and SAD.
Table 5. Adverse Reactions (≥2% of PAXIL-Treated Patients and Greater than Placebo) in 10 to 12-Week Clinical Trials for OCD, PD, and SAD
Body System/Preferred Term Obsessive
Compulsive DisorderPanic Disorder Social Anxiety
DisorderPAXIL
(n = 542)
%Placebo
(n = 265)
%PAXIL
(n = 469)
%Placebo
(n = 425)
%PAXIL
(n = 425)
%Placebo
(n = 339)
%Body as a Whole Asthenia 22 14 14 5 22 14 Abdominal Pain --- --- 4 3 --- --- Chest Pain 3 2 --- --- --- --- Back Pain --- --- 3 2 --- --- Chills 2 1 2 1 --- --- Trauma --- --- --- --- 3 1 Cardiovascular Vasodilation 4 1 --- --- --- --- Palpitation 2 0 --- --- --- --- Dermatologic Sweating 9 3 14 6 9 2 Rash 3 2 --- --- --- --- Gastrointestinal Nausea 23 10 23 17 25 7 Dry Mouth 18 9 18 11 9 3 Constipation 16 6 8 5 5 2 Diarrhea 10 10 12 7 9 6 Decreased Appetite 9 3 7 3 8 2 Dyspepsia --- --- --- --- 4 2 Flatulence --- --- --- --- 4 2 Increased Appetite 4 3 2 1 --- --- Vomiting --- --- --- --- 2 1 Musculoskeletal Myalgia --- --- --- --- 4 3 Nervous System Insomnia 24 13 18 10 21 16 Somnolence 24 7 19 11 22 5 Dizziness 12 6 14 10 11 7 Tremor 11 1 9 1 9 1 Nervousness 9 8 --- --- 8 7 Libido Decreased 7 4 9 1 12 1 Agitation --- --- 5 4 3 1 Anxiety --- --- 5 4 5 4 Abnormal Dreams 4 1 --- --- --- --- Concentration Impaired 3 2 --- --- 4 1 Depersonalization 3 0 --- --- --- --- Myoclonus 3 0 3 2 2 1 Amnesia 2 1 --- --- --- --- Respiratory System Rhinitis --- --- 3 0 --- --- Pharyngitis --- --- --- --- 4 2 Yawn --- --- --- --- 5 1 Special Senses Abnormal Vision 4 2 --- --- 4 1 Taste Perversion 2 0 --- --- --- --- Urogenital System Abnormal Ejaculationa 23 1 21 1 28 1 Dysmenorrhea --- --- --- --- 5 4 Female Genital Disordera 3 0 9 1 9 1 Impotencea 8 1 5 0 5 1 Urinary Frequency 3 1 2 0 --- --- Urination Impaired 3 0 --- --- --- --- Urinary Tract Infection 2 1 2 1 --- --- a. Percentage corrected for gender.
Adverse Reactions in Patients with GAD and PTSD
Table 6 presents adverse reactions that occurred at a frequency of 2% or more in clinical trials in patients with GAD and PTSD.
Table 6. Adverse Reactions (≥2% of PAXIL-Treated Patients and Greater than Placebo) in 8- to 12-Week Clinical Trials for GAD and PTSDa
Body System/Preferred Term Generalized Anxiety Disorder Posttraumatic Stress
DisorderPAXIL
(n = 735) %Placebo
(n = 529)
%PAXIL
(n = 576)
%Placebo
(n = 504)
%Body as a Whole Asthenia 14 6 12 4 Headache 17 14 --- --- Infection 6 3 5 4 Abdominal Pain 4 3 Trauma 6 5 Cardiovascular Vasodilation 3 1 2 1 Dermatologic Sweating 6 2 5 1 Gastrointestinal Nausea 20 5 19 8 Dry Mouth 11 5 10 5 Constipation 10 2 5 3 Diarrhea 9 7 11 5 Decreased Appetite 5 1 6 3 Vomiting 3 2 3 2 Dyspepsia --- --- 5 3 Nervous System Insomnia 11 8 12 11 Somnolence 15 5 16 5 Dizziness 6 5 6 5 Tremor 5 1 4 1 Nervousness 4 3 --- --- Libido Decreased 9 2 5 2 Abnormal Dreams 3 Respiratory System Respiratory Disorder 7 5 --- --- Sinusitis 4 3 --- --- Yawn 4 --- 2 <1 Special Senses Abnormal Vision 2 1 3 1 Urogenital System Abnormal Ejaculationa 25 2 13 2 Female Genital Disordera 4 1 5 1 Impotencea 4 3 9 1 a. Percentage corrected for gender.
Dose Dependent Adverse Reactions
MDD
A comparison of adverse reaction rates in a fixed‑dose study comparing PAXIL10 mg, 20 mg, 30 mg, and 40 mg once daily with placebo in the treatment of MDD revealed dose dependent adverse reactions, as shown in Table 7:
Table 7. Adverse Reactions (≥5% of PAXIL-Treated Patients and ≥ Twice the Rate of Placebo) (in a Dose‑Comparison Trial in the Treatment of MDD
Body System/Preferred Term Placebo PAXIL n = 51
%10 mg
n = 102
%20 mg
n = 104
%30 mg
n = 101
%40 mg
n = 104
%Body as a Whole Asthenia 0.0 2.9 10.6 13.9 12.7 Dermatology Sweating 2.0 1.0 6.7 8.9 11.8 Gastrointestinal Constipation 5.9 4.9 7.7 9.9 12.7 Decreased Appetite 2.0 2.0 5.8 4.0 4.9 Diarrhea 7.8 9.8 19.2 7.9 14.7 Dry Mouth 2.0 10.8 18.3 15.8 20.6 Nausea 13.7 14.7 26.9 34.7 36.3 Nervous System Anxiety 0.0 2.0 5.8 5.9 5.9 Dizziness 3.9 6.9 6.7 8.9 12.7 Nervousness 0.0 5.9 5.8 4.0 2.9 Paresthesia 0.0 2.9 1.0 5.0 5.9 Somnolence 7.8 12.7 18.3 20.8 21.6 Tremor 0.0 0.0 7.7 7.9 14.7 Special Senses Blurred Vision 2.0 2.9 2.9 2.0 7.8 Urogenital System Abnormal Ejaculation 0.0 5.8 6.5 10.6 13.0 Impotence 0.0 1.9 4.3 6.4 1.9 Male Genital Disorders 0.0 3.8 8.7 6.4 3.7 OCD
In a fixed‑dose study comparing placebo and PAXIL 20 mg, 40 mg, and 60 mg in the treatment of OCD, there was no clear relationship between adverse reactions and the dose of PAXIL to which patients were assigned.
PD
In a fixed-dose study comparing placebo and PAXIL 10 mg, 20 mg, and 40 mg in the treatment of PD, the following adverse reactions were shown to be dose-dependent: asthenia, dry mouth, anxiety, libido decreased, tremor, and abnormal ejaculation.
SAD
In a fixed‑dose study comparing placebo and PAXIL 20 mg, 40 mg and 60 mg in the treatment of SAD, for most of the adverse reactions, there was no clear relationship between adverse reactions and the dose of PAXIL to which patients were assigned.
GAD
In a fixed‑dose study comparing placebo and PAXIL 20 mg and 40 mg in the treatment of GAD, the following adverse reactions were shown to be dose-dependent: asthenia, constipation, and abnormal ejaculation.
PTSD
In a fixed‑dose study comparing placebo and PAXIL 20 mg and 40 mg in the treatment of PTSD, the following adverse reactions were shown to be dose-dependent: impotence and abnormal ejaculation.
Male and Female Sexual Dysfunction
Although changes in sexual desire, sexual performance, and sexual satisfaction often occur as manifestations of a psychiatric disorder, they may also be a consequence of SSRI treatment. However, reliable estimates of the incidence and severity of untoward experiences involving sexual desire, performance, and satisfaction are difficult to obtain, however, in part because patients and healthcare providers may be reluctant to discuss them. Accordingly, estimates of the incidence of untoward sexual experience and performance cited in labeling may underestimate their actual incidence.
The percentage of patients reporting symptoms of sexual dysfunction in males and females with MDD, OCD, PD, SAD, GAD, and PTSD are displayed in Table 8.
Table 8. Adverse Reactions Related to Sexual Dysfunction in Patients Treated with PAXIL in Clinical Trials of MDD, OCD, PD, SAD, GAD, and PTSD
PAXIL Placebo n (males) 1446
%1042
%Decreased Libido 6 to 15 0 to 5 Ejaculatory Disturbance 13 to 28 0 to 2 Impotence 2 to 9 0 to 3 n (females) 1822
%1340
%Decreased Libido 0 to 9 0 to 2 Orgasmic Disturbance 2 to 9 0 to 1 PAXIL treatment has been associated with several cases of priapism. In those cases with a known outcome, patients recovered without sequelae.
Hallucinations
In pooled clinical trials of PAXIL, hallucinations were observed in 0.2% of PAXIL-treated patients compared to 0.1% of patients receiving placebo.
Less Common Adverse Reactions
The following adverse reactions occurred during the clinical studies of PAXIL and are not included elsewhere in the labeling. Adverse reactions are categorized by body system and listed in order of decreasing frequency according to the following definitions: Frequent adverse reactions are those occurring on 1 or more occasions in at least 1/100 patients; infrequent adverse reactions are those occurring in 1/100 to 1/1,000 patients; rare adverse reactions are those occurring in fewer than 1/1,000 patients.
Body as a Whole
Infrequent: Allergic reaction, chills, face edema, malaise, neck pain; rare: Adrenergic syndrome, cellulitis, moniliasis, neck rigidity, pelvic pain, peritonitis, sepsis, ulcer.
Cardiovascular System
Frequent: Hypertension, tachycardia; infrequent: Bradycardia, hematoma, hypotension, migraine, postural hypotension, syncope; rare: Angina pectoris, arrhythmia nodal, atrial fibrillation, bundle branch block, cerebral ischemia, cerebrovascular accident, congestive heart failure, heart block, low cardiac output, myocardial infarct, myocardial ischemia, pallor, phlebitis, pulmonary embolus, supraventricular extrasystoles, thrombophlebitis, thrombosis, varicose vein, vascular headache, ventricular extrasystoles.
Digestive System
Infrequent: Bruxism, colitis, dysphagia, eructation, gastritis, gastroenteritis, gingivitis, glossitis, increased salivation, abnormal liver function tests, rectal hemorrhage, ulcerative stomatitis; rare: Aphthous stomatitis, bloody diarrhea, bulimia, cardiospasm, cholelithiasis, duodenitis, enteritis, esophagitis, fecal impactions, fecal incontinence, gum hemorrhage, hematemesis, hepatitis, ileitis, ileus, intestinal obstruction, jaundice, melena, mouth ulceration, peptic ulcer, salivary gland enlargement, sialadenitis, stomach ulcer, stomatitis, tongue discoloration, tongue edema, tooth caries.
Endocrine System
Rare: Diabetes mellitus, goiter, hyperthyroidism, hypothyroidism, thyroiditis.
Hemic and Lymphatic Systems
Infrequent: Anemia, leukopenia, lymphadenopathy, purpura; rare: Abnormal erythrocytes, basophilia, bleeding time increased, eosinophilia, hypochromic anemia, iron deficiency anemia, leukocytosis, lymphedema, abnormal lymphocytes, lymphocytosis, microcytic anemia, monocytosis, normocytic anemia, thrombocythemia, thrombocytopenia.
Metabolic and Nutritional
Frequent: Weight gain; infrequent: Edema, peripheral edema, SGOT increased, SGPT increased, thirst, weight loss; rare: Alkaline phosphatase increased, bilirubinemia, BUN increased, creatinine phosphokinase increased, dehydration, gamma globulins increased, gout, hypercalcemia, hypercholesteremia, hyperglycemia, hyperkalemia, hyperphosphatemia, hypocalcemia, hypoglycemia, hypokalemia, hyponatremia, ketosis, lactic dehydrogenase increased, non‑protein nitrogen (NPN) increased.
Musculoskeletal System
Frequent: Arthralgia; infrequent: Arthritis, arthrosis; rare: Bursitis, myositis, osteoporosis, generalized spasm, tenosynovitis, tetany.
Nervous System
Frequent: Emotional lability, vertigo; infrequent: Abnormal thinking, alcohol abuse, ataxia, dystonia, dyskinesia, euphoria, hostility, hypertonia, hypesthesia, hypokinesia, incoordination, lack of emotion, libido increased, manic reaction, neurosis, paralysis, paranoid reaction; rare: Abnormal gait, akinesia, antisocial reaction, aphasia, choreoathetosis, circumoral paresthesias, convulsion, delirium, delusions, diplopia, drug dependence, dysarthria, extrapyramidal syndrome, fasciculations, grand mal convulsion, hyperalgesia, hysteria, manic-depressive reaction, meningitis, myelitis, neuralgia, neuropathy, nystagmus, peripheral neuritis, psychotic depression, psychosis, reflexes decreased, reflexes increased, stupor, torticollis, trismus, withdrawal syndrome.
Respiratory System
Infrequent: Asthma, bronchitis, dyspnea, epistaxis, hyperventilation, pneumonia, respiratory flu; rare: Emphysema, hemoptysis, hiccups, lung fibrosis, pulmonary edema, sputum increased, stridor, voice alteration.
Skin and Appendages
Frequent: Pruritus; infrequent: Acne, alopecia, contact dermatitis, dry skin, ecchymosis, eczema, herpes simplex, photosensitivity, urticaria; rare: Angioedema, erythema nodosum, erythema multiforme, exfoliative dermatitis, fungal dermatitis, furunculosis; herpes zoster, hirsutism, maculopapular rash, seborrhea, skin discoloration, skin hypertrophy, skin ulcer, sweating decreased, vesiculobullous rash.
Special Senses
Frequent: Tinnitus; infrequent: Abnormality of accommodation, conjunctivitis, ear pain, eye pain, keratoconjunctivitis, mydriasis, otitis media; rare: Amblyopia, anisocoria, blepharitis, cataract, conjunctival edema, corneal ulcer, deafness, exophthalmos, eye hemorrhage, glaucoma, hyperacusis, night blindness, otitis externa, parosmia, photophobia, ptosis, retinal hemorrhage, taste loss, visual field defect.
Urogenital System
Infrequent: Amenorrhea, breast pain, cystitis, dysuria, hematuria, menorrhagia, nocturia, polyuria, pyuria, urinary incontinence, urinary retention, urinary urgency, vaginitis; rare: Abortion, breast atrophy, breast enlargement, endometrial disorder, epididymitis, female lactation, fibrocystic breast, kidney calculus, kidney pain, leukorrhea, mastitis, metrorrhagia, nephritis, oliguria, salpingitis, urethritis, urinary casts, uterine spasm, urolith, vaginal hemorrhage, vaginal moniliasis.
6.2 Postmarketing Experience
The following reactions have been identified during post approval use of PAXIL. Because these reactions are reported voluntarily from a population of unknown size, it is not always possible to reliably estimate their frequency or establish a causal relationship to drug exposure.
Acute pancreatitis, elevated liver function tests (the most severe cases were deaths due to liver necrosis, and grossly elevated transaminases associated with severe liver dysfunction), Guillain‑Barré syndrome, Stevens-Johnson syndrome, toxic epidermal necrolysis, drug reaction with eosinophilia and systemic symptoms (DRESS), syndrome of inappropriate ADH secretion, prolactinemia and galactorrhea; extrapyramidal symptoms which have included akathisia, bradykinesia, cogwheel rigidity, oculogyric crisis which has been associated with concomitant use of pimozide; status epilepticus, acute renal failure, pulmonary hypertension, allergic alveolitis, anosmia, hyposmia, anaphylaxis, eclampsia, laryngismus, optic neuritis, porphyria, restless legs syndrome (RLS), ventricular fibrillation, ventricular tachycardia (including torsade de pointes), hemolytic anemia, events related to impaired hematopoiesis (including aplastic anemia, pancytopenia, bone marrow aplasia, and agranulocytosis), vasculitic syndromes (such as Henoch-Schönlein purpura), and premature births in pregnant women. There has been a case report of severe hypotension when PAXIL was added to chronic metoprolol treatment.
-
7 DRUG INTERACTIONS
Table 9 presents clinically significant drug interactions with PAXIL.
Table 9 : Clinically Significant Drug Interactions with PAXIL
Monoamine Oxidase Inhibitors (MAOIs) Clinical Impact The concomitant use of SSRIs, including PAXIL, and MAOIs increases the risk of serotonin syndrome. Intervention PAXIL is contraindicated in patients taking MAOIs, including MAOIs such as linezolid or intravenous methylene blue [see Dosage and Administration (2.5), Contraindications (4), Warnings and Precautions (5.2)]. Examples selegiline, tranylcypromine, isocarboxazid, phenelzine, linezolid, methylene blue Pimozide and Thioridazine Clinical Impact Increased plasma concentrations of pimozide and thioridazine, drugs with a narrow therapeutic index, may increase the risk of QTc prolongation and ventricular arrhythmias. Intervention PAXIL is contraindicated in patients taking pimozide or thioridazine [see Contraindications (4)]. Other Serotonergic Drugs Clinical Impact The concomitant use of serotonergic drugs with PAXIL increases the risk of serotonin syndrome. Intervention Monitor patients for signs and symptoms of serotonin syndrome, particularly during treatment initiation and dosage increases. If serotonin syndrome occurs, consider discontinuation of PAXIL and/or concomitant serotonergic drugs [see Warnings and Precautions (5.2)]. Examples other SSRIs, SNRIs, triptans, tricyclic antidepressants, opioids, lithium, tryptophan, buspirone, amphetamines, and St. John’s Wort. Drugs that Interfere with Hemostasis (antiplatelet agents and anticoagulants) Clinical Impact The concurrent use of an antiplatelet agent or anticoagulant with PAXIL may potentiate the risk of bleeding. Intervention Inform patients of the increased risk of bleeding associated with the concomitant use of PAXIL and antiplatelet agents and anticoagulants. For patients taking warfarin, carefully monitor the international normalized ratio [see Warnings and Precautions (5.5)]. Examples aspirin, clopidogrel, heparin, warfarin Drugs Highly Bound to Plasma Protein Clinical Impact PAXIL is highly bound to plasma protein. The concomitant use of PAXIL with another drug that is highly bound to plasma protein may increase free concentrations of PAXIL or other tightly-bound drugs in plasma. Intervention Monitor for adverse reactions and reduce dosage of PAXIL or other protein-bound drugs as warranted. Examples warfarin Drugs Metabolized by CYP2D6 Clinical Impact PAXIL is a CYP2D6 inhibitor [see Clinical Pharmacology (12.3)]. The concomitant use of PAXIL with a CYP2D6 substrate may increase the exposure of the CYP2D6 substrate. Intervention Decrease the dosage of a CYP2D6 substrate if needed with concomitant PAXIL use. Conversely, an increase in dosage of a CYP2D6 substrate may be needed if PAXIL is discontinued. Examples propafenone, flecainide, atomoxetine, desipramine, dextromethorphan, metoprolol, nebivolol, perphenazine, tolterodine, venlafaxine, risperidone. Tamoxifen Clinical Impact Concomitant use of tamoxifen with PAXIL may lead to reduced plasma concentrations of the active metabolite (endoxifen) and reduced efficacy of tamoxifen Intervention Consider use of an alternative antidepressant with little or no CYP2D6 inhibition [see Warnings and Precautions (5.11)]. Fosamprenavir/Ritonavir Clinical Impact Co-administration of fosamprenavir/ritonavir with PAXIL significantly decreased plasma levels of PAXIL. Intervention Any dose adjustment should be guided by clinical effect (tolerability and efficacy). -
8 USE IN SPECIFIC POPULATIONS
8.1 Pregnancy
Pregnancy Exposure Registry
There is a pregnancy exposure registry that monitors pregnancy outcomes in women exposed to antidepressants, including PAXIL, during pregnancy. Healthcare providers are encouraged to advise patients to register by calling the National Pregnancy Registry for Antidepressants 1-866-961-2388 or visiting online at https://womensmentalhealth.org/clinical-and-research-programs/pregnancyregistry/antidepressants/.
Risk Summary
Based on data from published observational studies, exposure to SSRIs, particularly in the month before delivery, has been associated with a less than 2-fold increase in the risk of postpartum hemorrhage [see Warnings and Precautions (5.5) and Clinical Considerations].
Paxil is associated with a less than 2-fold increase in cardiovascular malformations when administered to a pregnant woman during the first trimester. While individual epidemiological studies on the association between paroxetine use and cardiac malformations have reported inconsistent findings, some meta-analyses of epidemiological studies have identified an increased risk of cardiovascular malformations (see Data). There are risks of persistent pulmonary hypertension of the newborn (PPHN) (see Data) and/or poor neonatal adaptation with exposure to selective serotonin reuptake inhibitors (SSRIs), including PAXIL during pregnancy. There also are risks associated with untreated depression in pregnancy (see Clinical Considerations). For women who intend to become pregnant or who are in their first trimester of pregnancy, paroxetine should be initiated only after consideration of the other available treatment options.
No evidence of treatment related malformations was observed in animal reproduction studies, when paroxetine was administered during the period of organogenesis at doses up to 50 mg/kg/day in rats and 6 mg/kg/day in rabbits. These doses are approximately 8 (rat) and less than 2 (rabbit) times the maximum recommended human dose (MRHD – 60 mg) on an mg/m2 basis. When paroxetine was administered to female rats during the last trimester of gestation and continued through lactation, there was an increase in the number of pup deaths during the first four days of lactation. This effect occurred at a dose of 1 mg/kg/day which is less than the MRHD on an mg/m2 basis (See Data).
The background risks of major birth defects and miscarriage for the indicated populations are unknown. All pregnancies have a background risk of birth defect, loss, or other adverse outcomes. In the US general population, the estimated background risk of major birth defects and miscarriage in clinically recognized pregnancies is 2 to 4% and 15 to 20%, respectively.
Clinical Considerations
Disease-associated maternal and/or embryofetal risk
Women who discontinue antidepressants during pregnancy are more likely to experience a relapse of major depression than women who continue antidepressants. This finding is from a prospective, longitudinal study of 201 pregnant women with a history of major depressive disorder who were euthymic and taking antidepressants at the beginning of pregnancy. Consider the risk of untreated depression when discontinuing or changing treatment with antidepressant medication during pregnancy and the postpartum.
Maternal Adverse Reactions
Use of PAXIL in the month before delivery may be associated with an increased risk of postpartum hemorrhage [see Warnings and Precautions (5.5)].
Fetal/Neonatal adverse reactions
Neonates exposed to PAXIL and other SSRIs late in the third trimester have developed complications requiring prolonged hospitalization, respiratory support, and tube feeding. Such complications can arise immediately upon delivery. Reported clinical findings have included respiratory distress, cyanosis, apnea, seizures, temperature instability, feeding difficulty, vomiting, hypoglycemia, hypotonia, hypertonia, hyperreflexia, tremors, jitteriness, irritability, and constant crying. These findings are consistent with either a direct toxic effect of SSRIs or possibly a drug discontinuation syndrome. It should be noted that, in some cases, the clinical picture is consistent with serotonin syndrome [see Warnings and Precautions (5.4)].
Data
Human Data
Published epidemiological studies on the association between first trimester paroxetine use and cardiovascular malformations have reported inconsistent results; however, meta-analyses of population-based cohort studies published between 1996 – 2017 indicate a less than 2-fold increased risk for overall cardiovascular malformations. Specific cardiac malformations identified in two meta-analyses include an approximately 2 to 2.5-fold increased risk for right ventricular outflow tract defects. One meta-analysis also identified an increased risk (less than 2-fold) for bulbus cordis anomalies and anomalies of cardiac septal closure, and an increased risk for atrial septal defect (pooled OR 2.38, 95% CI 1.14-4.97). Important limitations of the studies included in these meta-analyses include potential confounding by indication, depression severity, and potential exposure misclassification.
Exposure to SSRIs, particularly later in pregnancy, may have an increased risk for PPHN. PPHN occurs in 1-2 per 1000 live births in the general population and is associated with substantial neonatal morbidity and mortality.
Animal Data
Reproduction studies were performed at doses up to 50 mg/kg/day in rats and 6 mg/kg/day in rabbits administered during organogenesis. These doses are approximately 8 (rat) and less than 2 (rabbit) times the maximum recommended human dose (MRHD – 60 mg) on an mg/m2 basis. These studies have revealed no evidence of developmental effects. However, in rats, there was an increase in pup deaths during the first 4 days of lactation when dosing occurred during the last trimester of gestation and continued throughout lactation. This effect occurred at a dose of 1 mg/kg/day which is less than the MRHD on an mg/m2 basis. The no effect dose for rat pup mortality was not determined. The cause of these deaths is not known.
8.2 Lactation
Risk Summary
Data from the published literature report the presence of paroxetine in human milk (see Data). There are reports of agitation, irritability, poor feeding and poor weight gain in infants exposed to paroxetine through breast milk (see Clinical Considerations). There are no data on the effect of paroxetine on milk production. The developmental and health benefits of breastfeeding should be considered along with the mother’s clinical need for Paxil and any potential adverse effects on the breastfed child from Paxil or from underlying maternal condition.
Clinical Considerations
Infants exposed to PAXIL should be monitored for agitation, irritability, poor feeding and poor weight gain.
Data
Published literature suggests the presence of paroxetine in human milk with relative infant doses ranging between 0.4% to 2.2%, and a milk/plasma ratio of <1. No significant amounts were detected in the plasma of infants after breastfeeding.
8.3 Females and Males of Reproductive Potential
Infertility
Male
Based on findings from clinical studies, paroxetine may affect sperm quality which may impair fertility; it is not known if this effect is reversible [see Nonclinical Toxicology (13.1)].
8.4 Pediatric Use
The safety and effectiveness of PAXIL in pediatric patients have not been established [see Box Warning]. Effectiveness was not demonstrated in three placebo-controlled trials in 752 PAXIL-treated pediatric patients with MDD.
Antidepressants increase the risk of suicidal thoughts and behaviors in pediatric patients [see Boxed Warning, Warnings and Precautions (5.1)]. Decreased appetite and weight loss have been observed in association with the use of SSRIs.
In placebo-controlled clinical trials conducted with pediatric patients, the following adverse reactions were reported in at least 2% of pediatric patients treated with PAXIL and occurred at a rate at least twice that for pediatric patients receiving placebo: emotional lability (including self-harm, suicidal thoughts, attempted suicide, crying, and mood fluctuations), hostility, decreased appetite, tremor, sweating, hyperkinesia, and agitation.
Adverse reactions upon discontinuation of treatment with PAXIL in the pediatric clinical trials that included a taper phase regimen, which occurred in at least 2% of patients and at a rate at least twice that of placebo, were: emotional lability (including suicidal ideation, suicide attempt, mood changes, and tearfulness), nervousness, dizziness, nausea, and abdominal pain .
8.5 Geriatric Use
In premarketing clinical trials with PAXIL, 17% of patients treated with PAXIL (approximately 700) were 65 years of age or older. Pharmacokinetic studies revealed a decreased clearance in the elderly, and a lower starting dose is recommended;, however, no overall differences in safety or effectiveness were observed between elderly and younger patients [see Dosage and Administration (2.4), Clinical Pharmacology (12.3)].
SSRIs including PAXIL, have been associated with cases of clinically significant hyponatremia in elderly patients, who may be at greater risk for this adverse reaction [see Warnings and Precautions (5.7)].
8.6 Renal and Hepatic Impairment
Increased plasma concentrations of paroxetine occur in patients with renal and hepatic impairment. The initial dosage of PAXIL should be reduced in patients with severe renal impairment and in patients with severe hepatic impairment [see Dosage and Administration (2.4), Clinical Pharmacology (12.3)].
-
10 OVERDOSAGE
The following have been reported with paroxetine tablet overdosage:
- Seizures, which may be delayed, and altered mental status including coma.
- Cardiovascular toxicity, which may be delayed, including QRS and QTc interval prolongation. Hypertension most commonly seen, but rarely can see hypotension alone or with co-ingestants including alcohol.
- Serotonin syndrome (patients with a multiple drug overdosage with other proserotonergic drugs may have a higher risk).
Gastrointestinal decontamination with activated charcoal should be considered in patients who present early after a paroxetine overdose.
Consider contacting a poison center (1-800-222-1222) or a medical toxicologist for additional overdosage management recommendations.
-
11 DESCRIPTION
PAXIL contains paroxetine hydrochloride, an SSRI. It is the hydrochloride salt of a phenylpiperidine compound identified chemically as (-)-trans-4R-(4'-fluorophenyl)-3S-[(3',4'-methylenedioxyphenoxy) methyl] piperidine hydrochloride hemihydrate and has the empirical formula of C19H20FNO3·HCl·1/2H2O. The molecular weight is 374.8 (329.4 as free base). The structural formula of paroxetine hydrochloride is:

Paroxetine hydrochloride is an odorless, off‑white powder, having a melting point range of 120° to 138°C and a solubility of 5.4 mg/mL in water.
PAXIL Tablets
PAXIL tablets are for oral administration. Each film‑coated tablet contains 10 mg, 20 mg, 30 mg, or 40 mg of paroxetine equivalent to 11.1 mg, 22.2 mg, 33.3 mg or 44.4 mg of paroxetine hydrochloride, respectively.
Inactive ingredients consist of dibasic calcium phosphate dihydrate, hypromellose, magnesium stearate, polyethylene glycols, polysorbate 80, sodium starch glycolate, titanium dioxide, and 1 or more of the following: D&C Red No. 30 aluminum lake, D&C Yellow No. 10 aluminum lake, FD&C Blue No. 2 aluminum lake, FD&C Yellow No. 6 aluminum lake.
PAXIL Oral Suspension
PAXIL oral suspension is for oral administration. Each 5 mL contains 10 mg of paroxetine equivalent to 11.1 mg of paroxetine hydrochloride.
The oral suspension is not currently marketed.
Inactive ingredients consist of citric acid (anhydrous), FD&C yellow No. 6, flavorings, glycerin, methylparaben, microcrystalline cellulose and carboxymethylcellulose sodium, polacrilin potassium, propylene glycol, propylparaben, purified water, saccharin sodium, simethicone emulsion and sodium citrate (dihydrate).
-
12 CLINICAL PHARMACOLOGY
12.1 Mechanism of Action
The mechanism of action of PAXIL in the treatment of MDD, SAD, OCD, PD, GAD, and PTSD is unknown, but is presumed to be linked to potentiation of serotonergic activity in the central nervous system resulting from inhibition of neuronal reuptake of serotonin (5‑hydroxy‑tryptamine, 5‑HT).
12.2 Pharmacodynamics
Studies at clinically relevant doses in humans have demonstrated that paroxetine blocks the uptake of serotonin into human platelets. In vitro studies in animals also suggest that paroxetine is a potent and highly selective inhibitor of neuronal serotonin reuptake (SSRI) and has only very weak effects on norepinephrine and dopamine neuronal reuptake.
12.3 Pharmacokinetics
Nonlinearity in pharmacokinetics is observed with increasing doses of PAXIL.
In a meta-analysis of paroxetine from 4 studies done in healthy volunteers following multiple dosing of 20 mg/day to 40 mg/day, males did not exhibit a significantly lower Cmax or AUC than females.
Absorption
Paroxetine hydrochloride is completely absorbed after oral dosing of a solution of the hydrochloride salt. In a study in which normal male subjects (n = 15) received 30 mg tablets daily for 30 days, steady‑state paroxetine concentrations were achieved by approximately 10 days for most subjects, although it may take substantially longer in an occasional patient. At steady state, mean values of Cmax, Tmax, Cmin, and T½ were 61.7 ng/mL (CV 45%), 5.2 hr. (CV 10%), 30.7 ng/mL (CV 67%), and 21 hours (CV 32%), respectively. The steady‑state Cmax and Cmin values were about 6 and 14 times what would be predicted from single‑dose studies. Steady‑state drug exposure based on AUC0-24 was about 8 times greater than would have been predicted from single-dose data in these subjects. The excess accumulation is a consequence of the fact that 1 of the enzymes that metabolizes paroxetine is readily saturable.
Paroxetine is equally bioavailable from the oral suspension and tablet.
Effect of Food
The effects of food on the bioavailability of paroxetine were studied in subjects administered a single dose with and without food. AUC was only slightly increased (6%) when drug was administered with food but the Cmax was 29% greater, while the time to reach peak plasma concentration decreased from 6.4 hours post‑dosing to 4.9 hours.
Distribution
Paroxetine distributes throughout the body, including the CNS, with only 1% remaining in the plasma.
Approximately 95% and 93% of paroxetine is bound to plasma protein at 100 ng/mL and 400 ng/mL, respectively. Under clinical conditions, paroxetine concentrations would normally be less than 400 ng/mL. Paroxetine does not alter the in vitro protein binding of phenytoin or warfarin.
Elimination
Metabolism
The mean elimination half-life is approximately 21 hours (CV 32%) after oral dosing of 30 mg tablets daily for 30 days of PAXIL.
In steady‑state dose proportionality studies involving elderly and nonelderly patients, at doses of 20 mg to 40 mg daily for the elderly and 20 mg to 50 mg daily for the nonelderly, some nonlinearity was observed in both populations, again reflecting a saturable metabolic pathway. In comparison to Cmin values after 20 mg daily, values after 40 mg daily were only about 2 to 3 times greater than doubled.
Paroxetine is extensively metabolized after oral administration. The principal metabolites are polar and conjugated products of oxidation and methylation, which are readily cleared. Conjugates with glucuronic acid and sulfate predominate, and major metabolites have been isolated and identified. Data indicate that the metabolites have no more than 1/50 the potency of the parent compound at inhibiting serotonin uptake. The metabolism of paroxetine is accomplished in part by CYP2D6. Saturation of this enzyme at clinical doses appears to account for the nonlinearity of paroxetine kinetics with increasing dose and increasing duration of treatment. The role of this enzyme in paroxetine metabolism also suggests potential drug‑drug interactions [see Drug Interactions (7)]. Pharmacokinetic behavior of paroxetine has not been evaluated in subjects who are deficient in CYP2D6 (poor metabolizers).
Excretion
Approximately 64% of a 30-mg oral solution dose of paroxetine was excreted in the urine with 2% as the parent compound and 62% as metabolites over a 10‑day post‑dosing period. About 36% was excreted in the feces (probably via the bile), mostly as metabolites and less than 1% as the parent compound over the 10‑day post‑dosing period.
Drug Interaction Studies
There are clinically significant, known drug interactions between paroxetine and other drugs [see Drug Interactions (7)].
Figure 1. Impact of Paroxetine on the Pharmacokinetics of Co-Administered Drugs (log scale)
Figure 2. Impact of Co-Administered Drugs on the Pharmacokinetics of Paroxetine

Theophylline: Reports of elevated theophylline levels associated with PAXIL treatment have been reported. While this interaction has not been formally studied, it is recommended that theophylline levels be monitored when these drugs are concurrently administered.
Drugs Metabolized by Cytochrome CYP3A4
An in vivo interaction study involving the coadministration under steady-state conditions of paroxetine and terfenadine, a substrate for CYP3A4, revealed no effect of paroxetine on terfenadine pharmacokinetics. In addition, in vitro studies have shown ketoconazole, a potent inhibitor of CYP3A4 activity, to be at least 100 times more potent than paroxetine as an inhibitor of the metabolism of several substrates for this enzyme, including terfenadine, triazolam, and cyclosporine. Paroxetine’s extent of inhibition of CYP3A4 activity is not expected to be of clinical significance.
Specific Populations
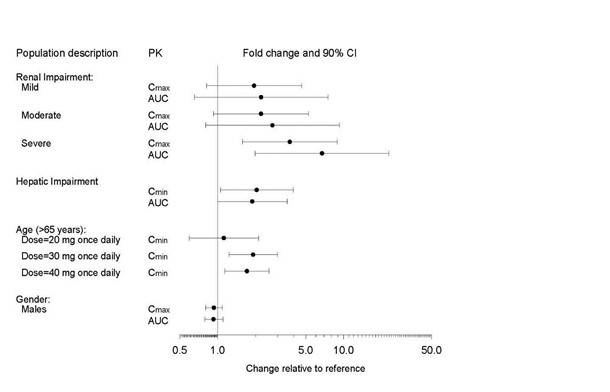
The impact of specific populations on the pharmacokinetics of paroxetine are shown in Figure 3.
The recommended starting dosage and maximum dosage of PAXIL is reduced in elderly patients, patients with severe renal impairment, and patients with severe hepatic impairment [see Dosage and Administration (2.4)].
Figure 3. Impact of Specific Population on the Pharmacokinetics of Paroxetine (log scale)

-
13 NONCLINICAL TOXICOLOGY
13.1 Carcinogenesis, Mutagenesis, Impairment of Fertility
Carcinogenesis
Two‑year carcinogenicity studies were conducted in rodents given paroxetine in the diet at 1, 5, and 25 mg/kg/day (mice) and 1, 5, and 20 mg/kg/day (rats). These doses are up to 2 (mouse) and 3 (rat) times the MRHD of 60 mg on a mg/m2 basis. There was a significantly greater number of male rats in the high‑dose group with reticulum cell sarcomas (1/100, 0/50, 0/50, and 4/50 for control, low-, middle-, and high‑dose groups, respectively) and a significantly increased linear trend across dose groups for the occurrence of lymphoreticular tumors in male rats. Female rats were not affected. Although there was a dose‑related increase in the number of tumors in mice, there was no drug-related increase in the number of mice with tumors. The relevance of these findings to humans is unknown.
Mutagenesis
Paroxetine produced no genotoxic effects in a battery of 5 in vitro and 2 in vivo assays that included the following: Bacterial mutation assay, mouse lymphoma mutation assay, unscheduled DNA synthesis assay, and tests for cytogenetic aberrations in vivo in mouse bone marrow and in vitro in human lymphocytes and in a dominant lethal test in rats.
Impairment of Fertility
A reduced pregnancy rate was found in reproduction studies in rats at a dose of paroxetine of 15 mg/kg/day, which is 2 times the MRHD of 60 mg on a mg/m2 basis. Irreversible lesions occurred in the reproductive tract of male rats after dosing in toxicity studies for 2 to 52 weeks. These lesions consisted of vacuolation of epididymal tubular epithelium at 50 mg/kg/day and atrophic changes in the seminiferous tubules of the testes with arrested spermatogenesis at 25 mg/kg/day (8 and 4 times the MRHD of 60 mg on a mg/m2 basis).
-
14 CLINICAL STUDIES
14.1 Major Depressive Disorder
The efficacy of PAXIL as a treatment for major depressive disorder (MDD) has been established in 6 placebo‑controlled studies of patients with MDD (aged 18 to 73). In these studies, PAXIL was shown to be statistically significantly more effective than placebo in treating MDD by at least 2 of the following measures: Hamilton Depression Rating Scale (HDRS), the Hamilton depressed mood item, and the Clinical Global Impression (CGI)‑Severity of Illness. PAXIL was statistically significantly better than placebo in improvement of the HDRS sub‑factor scores, including the depressed mood item, sleep disturbance factor, and anxiety factor.
Long-term efficacy of PAXIL for treatment of MDD in outpatients was demonstrated in a randomized withdrawal study. Patients who responded to PAXIL (HDRS total score <8) during an initial 8-week open-label treatment phase were then randomized to continue PAXIL or placebo, for up to 1 year. Patients treated with PAXIL demonstrated a statistically significant lower relapse rate during the withdrawal phase (15%) compared to those on placebo (39%). Effectiveness was similar for male and female patients.
14.2 Obsessive Compulsive Disorder
The effectiveness of PAXIL in the treatment of obsessive compulsive disorder (OCD) was demonstrated in two 12‑week multicenter placebo-controlled studies of adult outpatients (Studies 1 and 2). Patients had moderate to severe OCD (DSM‑IIIR) with mean baseline ratings on the Yale Brown Obsessive Compulsive Scale (YBOCS) total score ranging from 23 to 26. In study 1, a dose-range finding study, patients received fixed daily doses of PAXIL 20 mg, 40 mg, or 60 mg. Study 1 demonstrated that daily doses of PAXIL 40 mg and 60 mg are effective in the treatment of OCD. Patients receiving doses of PAXIL 40 mg and 60 mg experienced a mean reduction of approximately 6 and 7 points, respectively, on the YBOCS total score which was statistically significantly greater than the approximate 4-point reduction at 20 mg and a 3-point reduction in the placebo‑treated patients. Study 2 was a flexible-dose study comparing PAXIL 20 mg to 60 mg daily with clomipramine 25 mg to 250 mg daily or placebo). In this study, patients receiving PAXIL experienced a mean reduction of approximately 7 points on the YBOCS total score, which was statistically significantly greater than the mean reduction of approximately 4 points in placebo‑treated patients.
The following table provides the outcome classification by treatment group on Global Improvement items of the Clinical Global Impression (CGI) scale for Study 1.
Table 10: Outcome Classification (%) on CGI-Global Improvement Item for Completers in Study 1 in Patients with OCD
Outcome
ClassificationPlacebo
(n = 74)
%PAXIL 20 mg
(n = 75)
%PAXIL 40 mg
(n = 66)
%PAXIL 60 mg
(n = 66)
%Worse 14 7 7 3 No Change 44 35 22 19 Minimally Improved 24 33 29 34 Much Improved 11 18 22 24 Very Much Improved 7 7 20 20 Subgroup analyses did not indicate that there were any differences in treatment outcomes as a function of age or gender.
The long‑term efficacy of PAXIL for the treatment of OCD was established in a long‑term extension to Study 1. Patients who responded to PAXIL during the 3‑month double‑blind phase and a 6‑month extension on open‑label PAXIL 20 mg to 60 mg daily were randomized to either PAXIL or placebo in a 6‑month double‑blind relapse prevention phase. Patients randomized to PAXIL were statistically significantly less likely to relapse than placebo-treated patients.
14.3 Panic Disorder
The effectiveness of PAXIL in the treatment of panic disorder (PD) was demonstrated in three 10- to 12‑week multicenter, placebo‑controlled studies of adult outpatients (Studies 1, 2, and 3). Patients had PD (DSM-IIIR), with or without agoraphobia. In these studies, PAXIL was shown to be statistically significantly more effective than placebo in treating PD by at least 2 out of 3 measures of panic attack frequency and on the Clinical Global Impression Severity of Illness score.
Study 1 was a 10‑week dose‑range finding study; patients received fixed doses of PAXIL 10 mg, 20 mg, or 40 mg daily or placebo. A statistically significant difference from placebo was observed only for the PAXIL 40 mg daily group. At endpoint, 76% of patients receiving PAXIL 40 mg daily were free of panic attacks, compared to 44% of placebo‑treated patients.
Study 2 was a 12‑week flexible‑dose study comparing PAXIL 10 mg to 60 mg daily and placebo. At endpoint, 51% of PAXIL-treated patients were free of panic attacks compared to 32% of placebo‑treated patients.
Study 3 was a 12‑week flexible‑dose study comparing PAXIL 10 mg to 60 mg daily to placebo in patients concurrently receiving standardized cognitive behavioral therapy. At endpoint, 33% of the PAXIL‑treated patients showed a reduction to 0 or 1 panic attacks compared to 14% of placebo-treated patients.
In Studies 2 and 3, the mean PAXIL dose for completers at endpoint was approximately 40 mg daily.
Long‑term efficacy of PAXIL in PD was demonstrated in an extension to Study 1. Patients who responded to PAXIL during the 10‑week double‑blind phase and during a 3‑month double‑blind extension phase were randomized to either PAXIL 10 mg, 20 mg, or 40 mg daily or placebo in a 3‑month double‑blind relapse prevention phase. Patients randomized to PAXIL were statistically significantly less likely to relapse than placebo-treated patients.
Subgroup analyses did not indicate that there were any differences in treatment outcomes as a function of age or gender.
14.4 Social Anxiety Disorder
The effectiveness of PAXIL in the treatment of social anxiety disorder (SAD) was demonstrated in three 12‑week, multicenter, placebo‑controlled studies (Studies 1, 2, and 3) of adult outpatients with SAD (DSM‑IV). In these studies, the effectiveness of PAXIL compared to placebo was evaluated on the basis of (1) the proportion of responders, as defined by a Clinical Global Impression (CGI) Improvement score of 1 (very much improved) or 2 (much improved), and (2) change from baseline in the Liebowitz Social Anxiety Scale (LSAS).
Studies 1 and 2 were flexible-dose studies comparing PAXIL 20 mg to 50 mg daily and placebo. PAXIL demonstrated statistically significant superiority over placebo on both the CGI Improvement responder criterion and the Liebowitz Social Anxiety Scale (LSAS). In Study 1, for patients who completed to week 12, 69% of PAXIL‑treated patients compared to 29% of placebo‑treated patients were CGI Improvement responders. In Study 2, CGI Improvement responders were 77% and 42% for the PAXIL- and placebo‑treated patients, respectively.
Study 3 was a 12‑week study comparing fixed doses of PAXIL 20 mg, 40 mg, or 60 mg daily with placebo. PAXIL 20 mg was statistically significantly superior to placebo on both the LSAS Total Score and the CGI Improvement responder criterion; there were trends for superiority over placebo for the PAXIL 40 mg and 60 mg daily dose groups. There was no indication in this study of any additional benefit for doses higher than 20 mg daily.
Subgroup analyses generally did not indicate differences in treatment outcomes as a function of age, race, or gender.
14.5 Generalized Anxiety Disorder
The effectiveness of PAXIL in the treatment of generalized anxiety disorder (GAD) was demonstrated in two 8‑week, multicenter, placebo‑controlled studies (Studies 1 and 2) of adult outpatients with GAD (DSM‑IV).
Study 1 was an 8‑week study comparing fixed doses of PAXIL 20 mg or 40 mg daily with placebo. Doses of PAXIL 20 mg or 40 mg were both demonstrated to be statistically significantly superior to placebo on the Hamilton Rating Scale for Anxiety (HAM‑A) total score.
There was not sufficient evidence in this study to suggest a greater benefit for the PAXIL 40 mg daily dose compared to the 20 mg daily dose.
Study 2 was a flexible‑dose study comparing PAXIL 20 mg to 50 mg daily and placebo. PAXIL demonstrated statistically significant superiority over placebo on the Hamilton Rating Scale for Anxiety (HAM‑A) total score.
A third study, a flexible-dose study comparing PAXIL 20 mg to 50 mg daily to placebo, did not demonstrate statistically significant superiority of PAXIL over placebo on the Hamilton Rating Scale for Anxiety (HAM‑A) total score, the primary outcome.
Subgroup analyses did not indicate differences in treatment outcomes as a function of race or gender. There were insufficient elderly patients to conduct subgroup analyses on the basis of age.
In a long-term trial, 566 patients meeting DSM-IV criteria for GAD, who had responded during a single-blind, 8-week acute treatment phase with PAXIL 20 mg to 50 mg daily, were randomized to continuation of PAXIL at their same dose, or to placebo, for up to 24 weeks of observation for relapse. Response during the single-blind phase was defined by having a decrease of ≥2 points compared to baseline on the CGI-Severity of Illness scale, to a score of ≤3. Relapse during the double-blind phase was defined as an increase of ≥2 points compared to baseline on the CGI-Severity of Illness scale to a score of ≥4, or withdrawal due to lack of efficacy. Patients continuing to receive PAXIL experienced a statistically significantly lower relapse rate over the subsequent 24 weeks compared to those receiving placebo.
14.6 Posttraumatic Stress Disorder
The effectiveness of PAXIL in the treatment of Posttraumatic Stress Disorder (PTSD) was demonstrated in two 12-week, multicenter, placebo-controlled studies (Studies 1 and 2) of adult outpatients who met DSM-IV criteria for PTSD. The mean duration of PTSD symptoms for the 2 studies combined was 13 years (ranging from 0.1 year to 57 years). The percentage of patients with secondary MDD or non-PTSD anxiety disorders in the combined 2 studies was 41% (356 out of 858 patients) and 40% (345 out of 858 patients), respectively. Study outcome was assessed by (1) the Clinician-Administered PTSD Scale Part 2 (CAPS-2) score and (2) the Clinical Global Impression-Global Improvement Scale (CGI-I). The CAPS-2 is a multi-item instrument that measures 3 aspects of PTSD with the following symptom clusters: Reexperiencing/intrusion, avoidance/numbing and hyperarousal. The 2 primary outcomes for each trial were (1) change from baseline to endpoint on the CAPS-2 total score (17 items), and (2) proportion of responders on the CGI-I, where responders were defined as patients having a score of 1 (very much improved) or 2 (much improved).
Study 1 was a 12-week study comparing fixed doses of PAXIL 20 mg or 40 mg daily to placebo. Doses of PAXIL 20 mg and 40 mg were demonstrated to be statistically significantly superior to placebo on change from baseline for the CAPS-2 total score and on proportion of responders on the CGI-I. There was not sufficient evidence in this study to suggest a greater benefit for the 40 mg daily dose compared to the 20 mg daily dose.
Study 2 was a 12-week flexible-dose study comparing PAXIL 20 mg to 50 mg daily to placebo. PAXIL was demonstrated to be significantly superior to placebo on change from baseline for the CAPS-2 total score and on proportion of responders on the CGI-I.
A third study, a flexible-dose study comparing PAXIL 20 mg to 50 mg daily to placebo, demonstrated PAXIL to be statistically significantly superior to placebo on change from baseline for CAPS-2 total score, but not on proportion of responders on the CGI-I.
The majority of patients in these trials were women (68% women: 377 out of 551 subjects in Study 1 and 66% women: 202 out of 303 subjects in Study 2). Subgroup analyses did not indicate differences in treatment outcomes as a function of gender. There were an insufficient number of patients who were 65 years and older or were non-Caucasian to conduct subgroup analyses on the basis of age or race, respectively.
-
16 HOW SUPPLIED/STORAGE AND HANDLING
PAXIL (paroxetine) tablets are oval shaped tablets supplied as:
Tablet Strength Color Engraved Descriptors Package Configuration NDC Number 10 mg yellow Scored, “PAXIL” on front and “10” on back Bottles of 30 NDC 60505-4517-3 20 mg pink Scored, “PAXIL” on front and “20” on back Bottles of 30 NDC 60505-4518-3 30 mg blue “PAXIL” on front and “30” on back Bottles of 30 NDC 60505-4519-3 40 mg green “PAXIL” on front and “40” on back Bottles of 30 NDC 60505-4520-3 Store tablets between 15° and 30°C (59° and 86°F).
PAXIL (paroxetine) oral suspension is supplied as:
Strength Color/Flavor Package Configuration NDC Number 10 mg/5 mL Orange/orange Bottles containing 250 mL NDC 60505-0402-5 Store suspension at or below 25°C (77°F). The oral suspension is not currently marketed.
-
17 PATIENT COUNSELING INFORMATION
Advise the patient to read the FDA-approved patient labeling (Medication Guide).
Suicidal Thoughts and Behaviors
Advise patients and caregivers to look for the emergence of suicidality, especially early during treatment and when the dosage is adjusted up or down, and instruct them to report such symptoms to the healthcare provider [see Boxed Warning and Warnings and Precautions (5.1)].
Serotonin Syndrome
Caution patients about the risk of serotonin syndrome, particularly with the concomitant use of PAXIL with other serotonergic drugs including triptans, tricyclic antidepressants, opioids, lithium, tryptophan, buspirone, amphetamines, St. John’s Wort, and with drugs that impair metabolism of serotonin (in particular, MAOIs, both those intended to treat psychiatric disorders and also others, such as linezolid). Instruct patients to contact their health care provider or report to the emergency room if they experience signs or symptoms of serotonin syndrome [see Warnings and Precautions (5.2), Drug Interactions (7)].
Concomitant Medications
Advise patients to inform their physician if they are taking, or plan to take, any prescription or over-the-counter drugs, since there is a potential for drug-drug interactions [see Warning and Precautions (5.3), Drug Interactions (7)].
Increased Risk of Bleeding
Inform patients about the concomitant use of PAXIL with aspirin, NSAIDs, other antiplatelet drugs, warfarin, or other anticoagulants because the combined use has been associated with an increased risk of bleeding. Advise patients to inform their health care providers if they are taking or planning to take any prescription or over-the counter medications that increase the risk of bleeding [see Warnings and Precautions (5.5)].
Activation of Mania/Hypomania
Advise patients and their caregivers to observe for signs of activation of mania/hypomania and instruct them to report such symptoms to the healthcare provider [see Warnings and Precautions (5.6)].
Discontinuation Syndrome
Advise patients not to abruptly discontinue PAXIL and to discuss any tapering regimen with their healthcare provider. Inform patients that adverse reactions can occur when PAXIL is discontinued [See Warnings and Precautions (5.7)].
Sexual Dysfunction
Advise patients that use of PAXIL may cause symptoms of sexual dysfunction in both male and female patients. Inform patients that they should discuss any changes in sexual function and potential management strategies with their healthcare provider [see Warnings and Precautions (5.13)].
Administration Information for Oral Suspension
Instruct patients to shake the oral suspension well before administration [see Dosage and Administration (2.1)].
Allergic Reactions
Advise patients to notify their healthcare provider if they develop an allergic reaction such as rash, hives, swelling, or difficulty breathing [see Adverse Reactions (6.1, 6.2)].
Embryo-Fetal Toxicity
Advise women to notify their healthcare provider if they become pregnant or intend to become pregnant during treatment with PAXIL. Advise women of risks associated with first trimester use of PAXIL and that use later in pregnancy may lead to an increased risk for neonatal complications requiring prolonged hospitalization, respiratory support, tube feeding, and/or persistent pulmonary hypertension of the newborn (PPHN) [see Warnings and Precautions (5.4), Use in Specific Populations (8.1)]. Advise women that there is a pregnancy exposure registry that monitors pregnancy outcomes in women exposed to PAXIL during pregnancy [see Warnings and Precautions (5.4), Use in Specific Populations (8.1)].
Lactation
Advise breastfeeding women using PAXIL to monitor infants for agitation, irritability, poor feeding, and poor weight gain and to seek medical care if they notice these signs [see Use in Specific Populations (8.2)].
Females and Males of Reproductive Potential
Advise men that PAXIL may affect sperm quality, which may impair fertility; it is not known if this effect is reversible [see Use in Specific Populations (8.3)].
Manufactured by: Apotex Inc. Toronto, Ontario M9L 1T9
Manufactured for: Apotex Corp., Weston, Florida USA 33326
PAXIL® are registered trademarks of the GlaxoSmithKline group of companies.
All registered trademarks in this document are the property of their respective owners
-
Medication Guide
PAXIL® (PAX-il)
(paroxetine)
tablets
oral suspension
What is the most important information I should know about PAXIL?
PAXIL can cause serious side effects, including:
- Increased risk of suicidal thoughts or actions. PAXIL and other antidepressant medicines may increase suicidal thoughts and actions in some people 24 years of age and younger, especially within the first few months of treatment or when the dose is changed. PAXIL is not for use in children.
-
- Depression or other mental illnesses are the most important causes of suicidal thoughts and actions.
How can I watch for and try to prevent suicidal thoughts and actions?
- Pay close attention to any changes, especially sudden changes in mood, behavior, thoughts or feelings or if you develop suicidal thoughts or actions. This is very important when an antidepressant medicine is started or when the does is changed.
- Call your healthcare provider right away to report new or sudden changes in mood, behavior, thoughts or feelings or if you develop suicidal thoughts or actions.
- Keep all follow-up visits with your healthcare provider as scheduled. Call your healthcare provider between visits as needed, especially if you have concerns about symptoms.
Call your healthcare provider or get emergency medical help right away if you have any of the following symptoms, especially if they are new, worse, or worry you:
- attempts to commit suicide
- acting aggressive or violent
- new or worse depression
- feeling agitated, restless, angry, or irritable
- an increase in activity and talking more than what is normal for you
- acting on dangerous impulses
- thoughts about suicide or dying
- new or worse anxiety or panic attacks
- trouble sleeping
- other unusual changes in behavior or mood
What is PAXIL?
PAXIL is a prescription medicine used in adults to treat:
- A certain type of depression called Major Depressive Disorder (MDD)
- Obsessive Compulsive Disorder (OCD)
- Panic Disorder (PD)
- Social Anxiety Disorder (SAD)
- Generalized Anxiety Disorder (GAD)
- Posttraumatic Stress Disorder (PTSD)
Do not take PAXIL if you:
- take a monoamine oxidase inhibitor (MAOI)
- have stopped taking an MAOI in the last 14 days
- are being treated with the antibiotic linezolid or the intravenous methylene blue
- are taking pimozide
- are taking thioridazine
- are allergic to paroxetine or any of the ingredients in PAXIL. See the end of this Medication Guide for a complete list of ingredients in PAXIL.
Ask your healthcare provider or pharmacist if you are not sure if you take an MAOI or one of these medicines, including the antibiotic linezolid or intravenous methylene blue.
Do not start taking an MAOI for at least 14 days after you stop treatment with PAXIL.
Before taking PAXIL, tell your healthcare provider about all your medical conditions, including if you:
- have heart problems
- have or had bleeding problems
- have, or have a family history of, bipolar disorder, mania or hypomania
- have or had seizures or convulsions
- have glaucoma (high pressure in the eye)
- have low sodium levels in your blood
- have bone problems
- have kidney or liver problems
- are pregnant or plan to become pregnant. PAXIL may harm your unborn baby.
- Taking PAXIL during your first trimester of pregnancy may cause your baby to be at an increased risk of having a heart problem (cardiac malformations) at birth.
- Taking PAXIL during your third trimester of pregnancy may cause your baby to have breathing, temperature, and feeding problems, low muscle tone, and irritability after birth and may cause your baby to be at an increased risk of a serious lung problem at birth. Talk to your healthcare provider about the risk to your unborn baby if you take PAXIL during pregnancy.
- Tell your healthcare provider right away if you become pregnant or think you are pregnant during treatment with PAXIL.
- There is a pregnancy registry for females who are exposed to PAXIL during pregnancy. The purpose of the registry is to collect information about the health of females exposed to PAXIL and their baby. If you become pregnant during treatment with PAXIL talk to your healthcare provider about registering with the National Pregnancy Registry for Antidepressants at 1-866-961-2388 or visit online at https://womensmentalhealth.org/clinical-and-research-programs/pregnancyregistry/antidepressants/.
- are breastfeeding or plan to breastfeed. PAXIL passes into your breast milk. Talk to your healthcare provider about the best way to feed your baby during treatment with PAXIL.
Tell your healthcare provider about all the medicines you take, including prescription and over-the-counter medicines, vitamins, and herbal supplements.
PAXIL and some other medicines may affect each other causing possible serious side effects. PAXIL may affect the way other medicines work and other medicines may affect the way PAXIL works.
Especially tell your healthcare provider if you take:
- medicines used to treat migraine headaches called triptans
- tricyclic antidepressants
- lithium
- tramadol, fentanyl, meperidine, methadone, or other opioids
- tryptophan
- buspirone
- amphetamines
- St. John’s Wort
- medicines that can affect blood clotting such as aspirin, nonsteroidal anti-inflammatory drugs (NSAIDs), warfarin
- diuretics
- tamoxifen
- medicines used to treat mood, anxiety, psychotic, or thought disorders, including selective serotonin reuptake (SSRIs) and serotonin norepinephrine reuptake inhibitors (SNRIs)
Ask your healthcare provider if you are not sure if you are taking any of these medicines. Your healthcare provider can tell you if it is safe to take PAXIL with your other medicines.
Do not start or stop any other medicines during treatment with PAXIL without talking to your healthcare provider first. Stopping PAXIL suddenly may cause you to have serious side effects. See, “What are the possible side effects of PAXIL?”
Know the medicines you take. Keep a list of them to show to your healthcare provider and pharmacist when you get a new medicine.
How should I take PAXIL?
- Take PAXIL exactly as prescribed. Your healthcare provider may need to change the dose of PAXIL until it is the right dose for you.
- Take PAXIL 1 time each day in the morning.
- PAXIL may be taken with or without food.
- If you are taking PAXIL oral suspension, shake the suspension well before taking.
- If you take too much PAXIL, call your poison control center at 1-800-222-1222 or go to the nearest hospital emergency room right away.
What are possible side effects of PAXIL?
PAXIL can cause serious side effects, including:
- See, “What is the most important information I should know about PAXIL?”
-
Serotonin syndrome. A potentially life-threatening problem called serotonin syndrome can happen when you take PAXIL with certain other medicines. See, “Who should not take PAXIL?” Call your healthcare provider or go to the nearest hospital emergency room right away if you have any of the following signs and symptoms of serotonin syndrome:
- agitation
- seeing or hearing things that are not real (hallucinations)
- confusion
- coma
- fast heart beat
- changes in blood pressure
- dizziness
- sweating
- flushing
- high body temperature (hyperthermia)
- shaking (tremors), stiff muscles, or muscle twitching
- loss of coordination
- seizures
- nausea, vomiting, diarrhea
- Eye problems (angle-closure glaucoma). PAXIL may cause a type of eye problem called angle-closure glaucoma in people with certain other eye conditions. You may want to undergo an eye examination to see if you are at risk and receive preventative treatment if you are. Call your healthcare provider if you have eye pain, changes in your vision, or swelling or redness in or around the eye.
- Medicine interactions. Taking PAXIL with certain other medicines including thioridazine and pimozide may increase the risk of developing a serious heart problem called QT prolongation.
- Seizures (convulsions).
-
Manic episodes. Manic episodes may happen in people with bipolar disorder who take PAXIL. Symptoms may include:
- greatly increased energy
- racing thoughts
- unusually grand ideas
- talking more or faster than usual
- severe problems sleeping
- reckless behavior
- excessive happiness or irritability
-
Discontinuation syndrome. Suddenly stopping PAXIL may cause you to have serious side effects. Your healthcare provider may want to decrease your dose slowly. Symptoms may include:
- nausea
- sweating
- changes in your mood
- irritability and agitation
- dizziness
- electric shock feeling (paresthesia)
- tremor
- anxiety
- confusion
- headache
- tiredness
- problems sleeping
- hypomania
- ringing in your ears (tinnitus)
- seizures
-
Low sodium levels in your blood (hyponatremia). Low sodium levels in your blood that may be serious and may cause death, can happen during treatment with PAXIL. Elderly people and people who take certain medicines may be at a greater risk for developing low sodium levels in your blood. Signs and symptoms may include:
- headache
- difficulty concentrating
- memory changes
- confusion
- weakness and unsteadiness on your feet which can lead to falls
In more severe or more sudden cases, signs and symptoms include:
- seeing or hearing things that are not real (hallucinations)
- fainting
- seizures
- coma
- stopping breathing (respiratory arrest)
- Abnormal bleeding. Taking PAXIL with aspirin, NSAIDs, or blood thinners may increase this risk. Tell your healthcare provider about any unusual bleeding or bruising.
- Bone fractures.
- Sexual problems (dysfunction). Taking selective serotonin reuptake inhibitors (SSRIs), including PAXIL, may cause sexual problems.
Symptoms in males may include:
- Delayed ejaculation or inability to have an ejaculation
- Decreased sex drive
- Problems getting or keeping an erection
Symptoms in females may include:
- Decreased sex drive
- Delayed orgasm or inability to have an orgasm
Talk to your healthcare provider if you develop any changes in your sexual function or if you have any questions or concerns about sexual problems during treatment with PAXIL. There may be treatments your healthcare provider can suggest.
The most common side effects of PAXIL include:
- male and female sexual function problems
- constipation
- diarrhea
- dry mouth
- problems sleeping
- nervousness
- sweating
- yawning
- weakness (asthenia)
- decreased appetite
- dizziness
- infection
- nausea
- sleepiness
- shaking (tremor)
These are not all the possible side effects of PAXIL.
Call your doctor for medical advice about side effects. You may report side effects to FDA at 1-800-FDA-1088.
How should I store PAXIL?
- Store PAXIL tablets between 59ºF to 86ºF (15ºC to 30ºC).
- Store PAXIL oral suspension at or below 77ºF (25ºC).
Keep PAXIL and all medicines out of the reach of children.
General information about the safe and effective use of PAXIL.
Medicines are sometimes prescribed for purposes other than those listed in a Medication Guide. Do not take PAXIL for a condition for which it was not prescribed. Do not give PAXIL to other people, even if they have the same symptoms that you have. It may harm them. You may ask your healthcare provider or pharmacist for information about PAXIL that is written for healthcare professionals.
What are the ingredients in PAXIL?
Active ingredient: paroxetine hydrochloride
Inactive ingredients:
Tablets: dibasic calcium phosphate dihydrate, hypromellose, magnesium stearate, polyethylene glycols, polysorbate 80, sodium starch glycolate, titanium dioxide, and 1 or more of the following: D&C Red No. 30 aluminum lake, D&C Yellow No. 10 aluminum lake, FD&C Blue No. 2 aluminum lake, FD&C Yellow No. 6 aluminum lake
Oral suspension: citric acid (anhydrous), FD&C yellow No. 6, flavorings, glycerin, methylparaben, microcrystalline cellulose and carboxymethylcellulose sodium, polacrilin potassium, propylene glycol, propylparaben, purified water, saccharin sodium, simethicone emulsion and sodium citrate (dihydrate)
Manufactured by: Apotex Inc.,Toronto, Ontario, Canada M9L 1T9
Manufactured for: Apotex Corp.: Weston, Florida USA 33326
PAXIL® and PAXIL CR® are registered trademarks of the GlaxoSmithKline group of companies.
All other registered trademarks are the property of their respective owners.
For more information about PAXIL call 1-800-706-5575.
This Medication Guide has been approved by the U.S. Food and Drug Administration.
Revised: 11/2024
-
PRINCIPAL DISPLAY PANEL
NDC 60505-4517-3
PAXIL®
PAROXETINE HCl TABLETS
10 mg
30 Tablets
Scored Tablets
Federal Law requires dispensing of Paxil® with the Medication Guide provided with this bottle.
Rx only
Store tablets between 15o and 30oC (59o and 86oF). Dispense in a tight, light-resistant container.
Each tablet contains paroxetine hydrochloride equivalent to 10 mg paroxetine.
Dosage: See accompanying prescribing information.
Important: Use safety closures when dispensing this product unless otherwise directed by physician or requested by purchaser.
Manufactured by:
Apotex Inc.
Toronto, Ontario
Canada M9L 1T9
Manufactured for:
Apotex Corp.
Weston, Florida 33326

-
PRINCIPAL DISPLAY PANEL
NDC 60505-4518-3
PAXIL®
PAROXETINE HCl TABLETS
20 mg
30 Tablets
Federal Law requires dispensing of Paxil® with the Medication Guide provided with this bottle.
Rx only
Store tablets between 15o and 30oC (59o and 86oF). Dispense in a tight, light-resistant container.
Each tablet contains paroxetine hydrochloride equivalent to 20 mg paroxetine.
Dosage: See accompanying prescribing information.
Important: Use safety closures when dispensing this product unless otherwise directed by physician or requested by purchaser.
Manufactured by:
Apotex Inc.
Toronto, Ontario
Canada M9L 1T9
Manufactured for:
Apotex Corp.
Weston, Florida 33326

-
PRINCIPAL DISPLAY PANEL
NDC 60505-4519-3
PAXIL®
PAROXETINE HCl TABLETS
30 mg
30 Tablets
Federal Law requires dispensing of Paxil® with the Medication Guide provided with this bottle.
Rx only
Store tablets between 15o and 30oC (59o and 86oF). Dispense in a tight, light-resistant container.
Each tablet contains paroxetine hydrochloride equivalent to 30 mg paroxetine.
Dosage: See accompanying prescribing information.
Important: Use safety closures when dispensing this product unless otherwise directed by physician or requested by purchaser.
Manufactured by:
Apotex Inc.
Toronto, Ontario
Canada M9L 1T9
Manufactured for:
Apotex Corp.
Weston, Florida 33326

-
PRINCIPAL DISPLAY PANEL
NDC 60505-4520-3
PAXIL®
PAROXETINE HCl TABLETS
40 mg
30 Tablets
Federal Law requires dispensing of Paxil® with the Medication Guide provided with this bottle.
Rx only
Store tablets between 15o and 30oC (59o and 86oF). Dispense in a tight, light-resistant container.
Each tablet contains paroxetine hydrochloride equivalent to 40 mg paroxetine.
Dosage: See accompanying prescribing information.
Important: Use safety closures when dispensing this product unless otherwise directed by physician or requested by purchaser.
Manufactured by:
Apotex Inc.
Toronto, Ontario
Canada M9L 1T9
Manufactured for:
Apotex Corp.
Weston, Florida 33326

-
INGREDIENTS AND APPEARANCE
PAXIL
paroxetine hydrochloride tablet, film coatedProduct Information Product Type HUMAN PRESCRIPTION DRUG Item Code (Source) NDC:60505-4517 Route of Administration ORAL Active Ingredient/Active Moiety Ingredient Name Basis of Strength Strength PAROXETINE HYDROCHLORIDE (UNII: X2ELS050D8) (PAROXETINE - UNII:41VRH5220H) PAROXETINE 10 mg Inactive Ingredients Ingredient Name Strength DIBASIC CALCIUM PHOSPHATE DIHYDRATE (UNII: O7TSZ97GEP) SODIUM STARCH GLYCOLATE TYPE B POTATO (UNII: 27NA468985) MAGNESIUM STEARATE (UNII: 70097M6I30) HYPROMELLOSE, UNSPECIFIED (UNII: 3NXW29V3WO) TITANIUM DIOXIDE (UNII: 15FIX9V2JP) POLYETHYLENE GLYCOL, UNSPECIFIED (UNII: 3WJQ0SDW1A) D&C YELLOW NO. 10 (UNII: 35SW5USQ3G) POLYSORBATE 80 (UNII: 6OZP39ZG8H) FD&C YELLOW NO. 6 (UNII: H77VEI93A8) Product Characteristics Color YELLOW Score 2 pieces Shape OVAL (modified oval) Size 9mm Flavor Imprint Code PAXIL;10 Contains Packaging # Item Code Package Description Marketing Start Date Marketing End Date 1 NDC:60505-4517-3 30 in 1 BOTTLE; Type 0: Not a Combination Product 03/11/2019 Marketing Information Marketing Category Application Number or Monograph Citation Marketing Start Date Marketing End Date NDA NDA020031 03/11/2019 PAXIL
paroxetine hydrochloride tablet, film coatedProduct Information Product Type HUMAN PRESCRIPTION DRUG Item Code (Source) NDC:60505-4518 Route of Administration ORAL Active Ingredient/Active Moiety Ingredient Name Basis of Strength Strength PAROXETINE HYDROCHLORIDE (UNII: X2ELS050D8) (PAROXETINE - UNII:41VRH5220H) PAROXETINE 20 mg Inactive Ingredients Ingredient Name Strength DIBASIC CALCIUM PHOSPHATE DIHYDRATE (UNII: O7TSZ97GEP) SODIUM STARCH GLYCOLATE TYPE B POTATO (UNII: 27NA468985) MAGNESIUM STEARATE (UNII: 70097M6I30) HYPROMELLOSE, UNSPECIFIED (UNII: 3NXW29V3WO) TITANIUM DIOXIDE (UNII: 15FIX9V2JP) POLYETHYLENE GLYCOL, UNSPECIFIED (UNII: 3WJQ0SDW1A) POLYSORBATE 80 (UNII: 6OZP39ZG8H) D&C RED NO. 30 (UNII: 2S42T2808B) Product Characteristics Color PINK Score 2 pieces Shape OVAL (modified oval) Size 11mm Flavor Imprint Code PAXIL;20 Contains Packaging # Item Code Package Description Marketing Start Date Marketing End Date 1 NDC:60505-4518-3 30 in 1 BOTTLE; Type 0: Not a Combination Product 03/11/2019 Marketing Information Marketing Category Application Number or Monograph Citation Marketing Start Date Marketing End Date NDA NDA020031 03/11/2019 PAXIL
paroxetine hydrochloride tablet, film coatedProduct Information Product Type HUMAN PRESCRIPTION DRUG Item Code (Source) NDC:60505-4519 Route of Administration ORAL Active Ingredient/Active Moiety Ingredient Name Basis of Strength Strength PAROXETINE HYDROCHLORIDE (UNII: X2ELS050D8) (PAROXETINE - UNII:41VRH5220H) PAROXETINE 30 mg Inactive Ingredients Ingredient Name Strength DIBASIC CALCIUM PHOSPHATE DIHYDRATE (UNII: O7TSZ97GEP) SODIUM STARCH GLYCOLATE TYPE B POTATO (UNII: 27NA468985) MAGNESIUM STEARATE (UNII: 70097M6I30) HYPROMELLOSE, UNSPECIFIED (UNII: 3NXW29V3WO) TITANIUM DIOXIDE (UNII: 15FIX9V2JP) POLYETHYLENE GLYCOL, UNSPECIFIED (UNII: 3WJQ0SDW1A) FD&C BLUE NO. 2 (UNII: L06K8R7DQK) POLYSORBATE 80 (UNII: 6OZP39ZG8H) Product Characteristics Color BLUE Score no score Shape OVAL (modified oval) Size 13mm Flavor Imprint Code PAXIL;30 Contains Packaging # Item Code Package Description Marketing Start Date Marketing End Date 1 NDC:60505-4519-3 30 in 1 BOTTLE; Type 0: Not a Combination Product 03/11/2019 Marketing Information Marketing Category Application Number or Monograph Citation Marketing Start Date Marketing End Date NDA NDA020031 03/11/2019 PAXIL
paroxetine hydrochloride tablet, film coatedProduct Information Product Type HUMAN PRESCRIPTION DRUG Item Code (Source) NDC:60505-4520 Route of Administration ORAL Active Ingredient/Active Moiety Ingredient Name Basis of Strength Strength PAROXETINE HYDROCHLORIDE (UNII: X2ELS050D8) (PAROXETINE - UNII:41VRH5220H) PAROXETINE 40 mg Inactive Ingredients Ingredient Name Strength DIBASIC CALCIUM PHOSPHATE DIHYDRATE (UNII: O7TSZ97GEP) SODIUM STARCH GLYCOLATE TYPE B POTATO (UNII: 27NA468985) MAGNESIUM STEARATE (UNII: 70097M6I30) HYPROMELLOSE, UNSPECIFIED (UNII: 3NXW29V3WO) TITANIUM DIOXIDE (UNII: 15FIX9V2JP) POLYETHYLENE GLYCOL, UNSPECIFIED (UNII: 3WJQ0SDW1A) D&C YELLOW NO. 10 (UNII: 35SW5USQ3G) FD&C BLUE NO. 2 (UNII: L06K8R7DQK) POLYSORBATE 80 (UNII: 6OZP39ZG8H) Product Characteristics Color GREEN Score no score Shape OVAL (modified oval) Size 14mm Flavor Imprint Code PAXIL;40 Contains Packaging # Item Code Package Description Marketing Start Date Marketing End Date 1 NDC:60505-4520-3 30 in 1 BOTTLE; Type 0: Not a Combination Product 03/11/2019 Marketing Information Marketing Category Application Number or Monograph Citation Marketing Start Date Marketing End Date NDA NDA020031 03/11/2019 Labeler - Apotex Corp (845263701)
